Preprint
Article

This version is not peer-reviewed.

The Role of Energy Sharing Mechanisms in Advancing the Sustainable Development Goals Outlined in the 2030 Agenda

A peer-reviewed article of this preprint also exists.

Submitted:

07 October 2025

Posted:

07 October 2025

You are already at the latest version

Abstract
The global energy transition plays a pivotal role in achieving the Sustainable Development Goals (SDGs) defined in the United Nations 2030 Agenda. Among the emerging strategies, energy sharing mechanisms, such as peer-to-peer (P2P) trading, virtual power plants (VPPs), energy communities, and local energy markets, are increasingly recognized for their potential to enhance energy justice, resilience, and sustainability. These models redistribute energy production and consumption responsibilities among users, fostering decentralization, democratization, and inclusivity in energy systems. This review synthesizes current literature on energy sharing and evaluates their contributions to specific SDGs, particularly SDG 7 (Affordable and Clean Energy), SDG 11 (Sustainable Cities and Communities), and SDG 13 (Climate Action). Furthermore, the paper discusses regulatory frameworks, technological enablers, and socio-economic barriers to implementation. It concludes with policy recommendations for promoting energy sharing schemes as effective tools in the global pursuit of sustainable development.
Keywords: 
;  ;  ;  

1. Introduction

The transition toward sustainable and decentralized energy systems has become a cornerstone of the global agenda for addressing climate change, reducing inequalities, and promoting socio-economic development. The United Nations’ 2030 Agenda for Sustainable Development, adopted in 2015, outlines 17 Sustainable Development Goals (SDGs) as an integrated framework for global prosperity and environmental stewardship. Central to this framework is SDG 7, which aims to ensure access to affordable, reliable, sustainable, and modern energy for all. Traditional centralized energy systems have often failed to address disparities in energy access and have been limited in their capacity to integrate renewable energy sources at the community level.
In contrast, energy sharing mechanisms, enabled by advancements in digital infrastructure, smart grids, and distributed energy resources (DERs), represent a transformative shift in how energy is generated, exchanged, and consumed [1]. These mechanisms include models such as peer-to-peer (P2P) energy trading, where prosumers can sell excess electricity to other users in a decentralized market; virtual power plants (VPPs); and renewable energy communities, which promote collective ownership and governance of energy assets [2]. Collectively, such approaches enhance the resilience and flexibility of energy systems, reduce energy poverty, and empower local stakeholders [3].
Recent studies highlight the pivotal role of community-based energy models in advancing not only SDG 7, but also SDG 11 (Sustainable Cities and Communities) and SDG 13 (Climate Action). For instance, energy cooperatives and citizen-led energy communities have been shown to foster social acceptance, democratic governance, and equitable participation in the energy transition [4,5]. Beyond the environmental and economic benefits, energy sharing mechanisms are increasingly recognized for their contribution to energy justice and social innovation, enabling marginalized groups to access clean and affordable energy [3,6].
Technological innovations such as blockchain-based trading platforms and advanced metering infrastructures further expand the potential of local energy markets, as demonstrated in recent reviews of P2P energy trading architectures, pricing strategies, and enabling technologies [2,7]. These cases illustrate how digitalization can enhance transparency, trust, and efficiency in decentralized markets, thereby accelerating their scalability. At the same time, the growing proliferation of energy communities across Europe shows growing societal momentum behind decentralized energy systems [8].
However, regulatory and institutional barriers remain a major challenge. Studies reveal that inconsistent transposition of EU directives, administrative complexity, and limited grid access hinder the widespread implementation of renewable energy communities, particularly in Southern and Eastern Europe [9]. Moreover, socio-technical barriers, such as a lack of technical skills and limited awareness among citizens, restrict broader participation [4,10]. Overcoming these challenges requires coordinated policy support, financial incentives, and capacity-building programs, alongside efforts to integrate energy sharing mechanisms within broader strategies of sustainable urban and rural development.
Against this background, this paper provides a comprehensive review of the role that energy sharing mechanisms can play in supporting the SDGs, with particular attention to SDGs 7, 11, and 13. It explores the current landscape of energy sharing initiatives, their alignment with sustainability objectives, and the enabling conditions necessary for scaling up these models globally.

2. Energy Sharing Mechanisms in Italy

The European Union has pledged to become the world’s first climate-neutral continent by 2050. To reach this target, it is steering its policies toward a system increasingly based on renewable resources and distributed generation. Within this framework, the smart grid paradigm has gained prominence, as it facilitates the deployment and management of small-scale renewable energy units rather than relying solely on large, centralized plants. Such a model enables interventions that are closer to end-users, fostering greater responsiveness and efficiency in the energy supply chain.
At the same time, demand-side management solutions make it possible for consumers to move beyond their traditional passive role and become active, flexible players in the energy market. Citizens are therefore being encouraged to engage in the transition by adopting practices such as load shifting, peak shaving, and energy storage, all of which enhance the reliability and adaptability of renewable energy systems.
This evolution has provided fertile ground for the development of Renewable Energy Communities (RECs), which are emerging worldwide at different rates. Similar to Citizen Energy Communities (CECs) defined in Directives 2018/2001 and 2019/944 under the Clean Energy for All Europeans package [11], in Italy, RECs have gained momentum also thanks to the transposition of EU Directive RED II through Legislative Decree 199/2021 [12].
Several Italian regions have enacted specific laws to promote the establishment and consolidation of RECs, with measures ranging from legal recognition to direct financial support. For instance, Abruzzo (LR 8/2022) has introduced grants prioritizing disadvantaged areas and established a permanent committee for monitoring, while Basilicata (LR 12/2022) supports municipalities with start-up subsidies and a technical platform. Other regions, such as Emilia-Romagna (LR 5/2022) and Umbria (LR 6/2024), provide substantial non-repayable grants and revolving funds for feasibility studies, infrastructure, and implementation. Lombardy (LR 2/2022) has adopted one of the most comprehensive frameworks, allocating more than €10 million annually between 2023 and 2024, coupled with technical support platforms and cooperative assistance. In contrast, some regions, such as Molise, have yet to adopt dedicated REC legislation and rely mainly on national or EU-level funding.
A comparative analysis reveals significant variation across Italian regions in terms of financial allocations, governance mechanisms, and supporting measures. While Sicily has earmarked over €61 million under the FESR 2021–2027 program to fund up to 40% of capital costs for REC projects, Valle d’Aosta has opted for more localized subsidies, covering up to 100% of project costs for public RECs with a maximum of €50,000 per project. Other regions, like Liguria and Veneto, provide mainly legal and organizational support rather than direct subsidies, emphasizing regulatory coordination, observatories, and best practice sharing. These diverse approaches demonstrate the fragmented but dynamic governance of energy communities in Italy, reflecting both regional priorities and socioeconomic contexts.
Alongside regulatory and financial frameworks, Italy has witnessed a steady increase in operational RECs. According to GSE data (March 2025), 212 communities are currently active, corresponding to an installed capacity of around 18 MW and involving nearly 1,956 users. However, the number of initiatives in development or planning stages is considerably higher, with institutional and association sources estimating nearly 600 active projects. These communities display a heterogeneous composition, ranging from small rural initiatives such as the CER in Gagliano Aterno (Abruzzo) with fewer than 250 inhabitants, to larger urban projects like the “CER Solidale Napoli Est” (Campania) involving about 25,000 residents. The scope of renewable sources also varies: while many RECs are based predominantly on photovoltaic generation, others integrate wind, biomass, hydropower, or energy storage systems, as seen in projects in Calabria and Puglia. Moreover, building types and user profiles are diverse, including residential, educational, commercial, and public administration facilities, often with a focus on social inclusion and the involvement of vulnerable groups [13].
This multifaceted development of RECs in Italy highlights both the opportunities and challenges of decentralizing the energy system. The combination of regional legislation, financial support, and grassroots initiatives underscores the country’s potential to use energy sharing mechanisms as a tool to promote social cohesion, reduce energy poverty, and accelerate the achievement of climate and energy targets. At the same time, the uneven distribution of resources and capacities across regions suggests the need for greater policy harmonization and coordinated support to fully exploit the transformative potential of energy communities.
Beyond the regulatory framework, a growing body of academic literature has investigated Italian RECs both from the technical and socio-institutional perspectives. Grignani et al. (2021) emphasize the suitability of cooperative models for REC governance, demonstrating how community cooperatives enhance social trust, democratic participation, and the acceptance of distributed renewable generation in Italy [14]. Complementarily, Caramizaru and Uihlein (2020) provide an EU-wide perspective but highlight Italy as one of the frontrunners in integrating social innovation into energy sharing initiatives [15].
Politecnico di Milano’s Energy and Strategy group (2022–2023) mapped 14 regional incentive schemes for RECs, including Lombardy, Sardinia, Campania, Sicily, highlighting that most schemes are publicly directed at municipalities and local authorities, and provide both technical and financial support. At national level, the 2023 ministerial decree signalled a €5.7 billion dedicated budget to REC incentive programs, effective January 2024, marking a turning point in enabling bottom-up and top-down REC deployment nationally [16]
Case-study approaches have offered detailed insights into local REC dynamics. For example, Di Fazio et al. (2022) developed the ComER project, which introduced decision-support tools for REC operations under Italian regulations, including optimization of storage management, tariff allocation, and member coordination [17].
Moretti et al. (2023), discussed how a renewable energy community, if supported and driven by public administration, can overcome the limitations and barriers in implementing renewable energy installations, especially in Italy. They presented the model of a top-down/PA-driven REC taking into account the case study of the Municipality of Assisi, Italy. One of the fundamental aspects of the municipality’s approach is the active involvement and support of the local community. By establishing a renewable energy community, citizens and local stakeholders are actively engaged in the decision-making processes and the implementation of renewable energy sources. This participatory approach fosters a sense of ownership, belonging, and increased awareness among community members. Moreover, involving the community directly helps to build acceptance and mitigate potential resistance or concerns regarding the installation of renewable energy systems [18].
From a technical perspective, recent contributions have examined the impact of RECs on distribution grids. Dimovsky et al. (2023) analyzed two real-life networks, an urban and a rural distribution grid, with the aim of evaluating the impact of ECs on the electric system. A Monte Carlo procedure was adopted to simulate various EC configurations using two approaches. In Strategy 1 the yearly energy production equals the consumption of the EC (obtaining a net-zero energy balance), whereas Strategy 2 minimizes the power exchange between the EC and the external grid for each individual time stamp. In the latter approach, the goal is to maximize energy self-consumption within the EC. The impact of the EC is evaluated adopting the common indicators in general grid planning studies: energy losses, steady-state voltages and thermal loading of lines. The simulations performed clearly demonstrated that the impact of ECs on the grid is not a minor issue [19]. Similarly, Conte et al. (2023) proposed an optimal coordination strategy for household-level RECs, showing that demand-side flexibility and smart scheduling can maximize shared consumption and minimize community-level costs under Italy’s incentive scheme [20]. Carraro et al. studied the economic, energetic, and environmental benefits of Energy Communities when considering the possibilities of applying demand response and aggregating different types of users. They set up a design and operation optimization problem based on Mixed Integer Linear Programming of the energy conversion and storage units and solved under different combinations of user types by imposing a cap on CO2 emissions and by considering different degrees of flexibility of the hourly electricity demand. The application of the concept of Energy Community at the urban level demonstrated a key role in pushing the installation of renewable energy plants and decreasing the environmental impact of the energy system by reducing direct CO2 emissions [21].
Tortorelli et a., (2024) proposed a multi-agent AI-based control framework to solve the EC’s energy management problem in the presence of distributed RESs and ESSs and as well as considering a shared ESS. The main goal of the proposed control framework is to satisfy the EC members’ load demand, to maximize self-consumption and to manage ESSs charging and discharging processes, to enforce a cooperative behavior among the EC members’ by adopting fair and personalized strategies and to maximize EC members’ profits. The proposed control procedure is based on three sequential stages, each one solved by a dedicated local RL agent exploiting the Q-Learning algorithm [22].
Gianaroli et al. (2024) work focuses on modelling and simulating a Renewable Energy Community within a virtual scheme, whose remuneration model is based on energy sharing outlined in the Italian regulation. In particular, four algorithms were developed on the basis of dynamic sharing keys, in order to allocate shared energy on an hourly level addressing the critical condition that arises when the energy feed into the grid is lower than the energy purchased by users [23].
On the socio-economic dimension, Wirth (2014) analyzed barriers and drivers for REC development in Italy, identifying the centrality of trust, fairness in benefit distribution, and the role of municipalities as key promoters [24]. Other scholars have explored the regional policy landscape: Candelise et al. (2023) reviewed the heterogeneity of REC initiatives across Italian regions, showing how decentralized governance and local incentives have accelerated diffusion in Lombardy, Sardinia, and Sicily, while also highlighting disparities in institutional capacity [25].
Zhu et al. (2025) address dimension of RECs development through a three-phase approach aimed at analyzing their current status and features. The methodology consists of three main stages: policy analysis, data collection and quantitative analysis, and evaluation of energy sources with data analysis. These steps provide a comprehensive review of RECs, from the policy framework to renewable energy sources, offering a holistic understanding of their status and future outlook [26]
Sciullo et al. (2023), presented the factors and dynamics that plays a role in hampering or facilitating EC model diffusion. They paid specific attention to three dimensions of analysis: the energy mix and market structure; the institutional and policy landscape; the wider social attitudes towards environmental issues and cooperation among citizens [27].
Large-scale participatory renewable projects have also entered the Italian landscape, offering hybrid models of community involvement. For instance, projects like Enel’s Trino solar farm in Piedmont, partially financed through citizen crowdfunding, represent a complementary pathway where community participation extends beyond small-scale RECs into utility-scale renewables [28]. In parallel, insular contexts such as Procida and other minor Mediterranean islands are being studied as laboratories for REC implementation, integrating photovoltaics and storage under microgrid schemes to enhance resilience and reduce dependence on imported fossil fuels [29].
Additionally, Italy’s geothermal capacity, offers a renewable resource that can be leveraged in REC contexts, especially for local heating through district heating networks and microgrid designs in rural or small-town clusters [30]. Research on socio ecological marginality within the Apulo Campano Apennines highlights how wind energy investments, when integrated through RECs or cooperative frameworks, can valorize peripheral territories by addressing inequality and spurring local benefits [31].
Overall, the Italian experience shows a heterogeneous but expanding portfolio of REC implementations, ranging from solidarity-based initiatives in disadvantaged urban neighborhoods to inter-municipal projects in rural and mountain areas, and from condominium-scale collective self-consumption to island microgrids. The growing body of scientific literature underlines that Italy has become a key testing ground where regulatory innovation, technical optimization, and community governance interact to accelerate the transition toward distributed, renewable-based energy systems. Importantly, these initiatives also resonate with the Sustainable Development Goals: REC projects in earthquake-affected areas or fragile rural territories contribute to SDG 7 (Affordable and Clean Energy) and SDG 11 (Sustainable Cities and Communities) by ensuring local access to reliable, renewable energy while supporting resilience and reconstruction. Solidarity-based RECs, such as those targeting energy poverty in urban districts, directly advance SDG 1 (No Poverty) and SDG 10 (Reduced Inequalities) by redistributing energy benefits and fostering social inclusion. Furthermore, the coupling of RECs with storage, digital platforms, and smart grids aligns with SDG 9 (Industry, Innovation and Infrastructure) and SDG 13 (Climate Action), underscoring the dual role of Italian RECs as both technological laboratories and social innovations for sustainable development.

Renewable Energy Communities in the Central Apennines: The Next Apennines Laboratory

The Central Apennines region, severely affected by the 2016–2017 seismic sequence, presents a unique context for energy sharing mechanisms, particularly Renewable Energy Communities (RECs) acting as tools for resilient reconstruction and community empowerment. The Next Appennino program, a regional initiative launched after the 2016 earthquakes, explicitly aims at integrating socio-economic recovery, territorial redevelopment and sustainable energy deployment in the seismic “crater” areas supporting REC development alongside reconstruction efforts [32]. The number of involved administrations has reached 84. The financial allocation has been significant: €47.3 million was assigned to Abruzzo, €51.5 million to Marche, €8 million to Lazio, and €33 million to Umbria. These investments primarily target interventions such as energy efficiency retrofitting of buildings, renewable energy production, centralized smart energy systems, and community-based energy sharing models. The overarching policy goal of these measures is twofold: to counter demographic decline and to stimulate new socio-economic opportunities across the Apennine regions [33].
The case of Abruzzo is particularly emblematic. Pre-existing social and institutional conditions had already created fertile ground for energy community initiatives, largely due to the regional law of 2015 on community cooperatives (RL 2, 08.10.2015), which drew upon long-standing traditions of local cooperation and territorial resource management. This framework contributed to strengthening local social capital and laid the groundwork for REC diffusion. Building on this foundation, the introduction of the Complementary Fund enabled the allocation of over €47 million to the region. Following the approval of a specific regional law on RECs in 2022, this financial support facilitated the establishment of 18 communities, expected to install an aggregate capacity of 19,582 kWp. These initiatives are led predominantly by municipalities or other public entities and involve 2,646 private participants. Photovoltaic (PV) technology is the dominant source, although one project incorporates a wind turbine in the municipality of Popoli [34].
In the Marche region, REC legislation was introduced in 2021. With over €51 million in funding, three RECs have been established, engaging 1,044 private participants and achieving an installed capacity of 11,517 kWe through a mix of PV and hydroelectric solutions. Additional support mechanisms have been put in place, including the allocation of €3 million from the 2021–2027 ERDF/ESF+ programme to foster REC participation among enterprises.
The Lazio region passed its REC law in 2020 and subsequently launched a call in 2022 for feasibility studies with a dedicated budget of €1 million. With the aid of €8 million in complementary funding, three RECs were established. These projects collectively involve 309 private participants and an installed capacity of 1,531 kWe derived from both PV and hydroelectric plants.
Umbria, which only approved its REC legislation in 2024, has also mobilized substantial resources. A €33 million allocation has supported the creation of the Bacino Imbrifero Umbro REC, engaging 940 private participants and achieving a combined capacity of 8,549 kW through a diversified energy mix that includes PV, hydroelectric, and biomass integrated into district heating. Furthermore, the Chamber of Commerce of Umbria has promoted REC participation among companies by financing technical and economic feasibility studies with an additional €400,000 [35].
With the most recent ordinance signed on July 2, 2025, the number of financed projects has risen to 40, with a total value of approximately €126 million, supported by €59 million in public contributions already granted. The newly financed entities are: in Marche, the municipalities of Tolentino (€3.4 million), Servigliano (€716,000), Fabriano (€1.1 million), Montegiorgio (€2.2 million), Pieve Torina (€254,000), and Montalto delle Marche (€880,000); in Umbria, Spoleto (€463,000); in Lazio, Leonessa (€658,000), Cittaducale (€316,000), Borgo Velino (€685,000), and Rieti (€1.2 million); in Abruzzo, Arsita (€328,000), Collarmele (€277,000), Popoli (€2.5 million), Montebello di Bertona (€462,000), Rocca Santa Maria (€190,000), and Isola del Gran Sasso d’Italia (€371,000) [36].
Case studies from Marche and Lazio regions demonstrate how solar PV with storage and integrated seismic-energy retrofits contribute to sustainable development goals, notably SDG 7 (Affordable and Clean Energy), SDG 11 (Sustainable Cities and Communities), and SDG 13 (Climate Action). Studies further show how energy-sharing helps counter rural depopulation and promotes economic revitalization in quake-affected municipalities.
Brunelli and colleagues (2025), introduced a novel simulation framework aimed at supporting the design of hybrid Renewable Energy Communities (RECs) that integrate multiple renewable energy sources, thereby filling a notable gap in existing planning tools. The model was applied to a case study in a forested area of the Central Apennines (Italy), where the sustainable exploitation of locally available resources points to a combination of biomass and photovoltaic plants as suitable energy solutions. Beyond the technical dimension, the REC concept is also framed as an instrument to mitigate rural depopulation by generating new services and opportunities consistent with the Sustainable Development Goals. Scenario analyses, which tested different community compositions and plant capacities, indicate that the configuration including a 600 kW biomass facility achieves the most substantial outcomes, with estimated CO₂ emission reductions of up to 1,660 tonnes per year and levels of energy self-sufficiency exceeding 80% across all modeled cases [37].
Di Paolo et al. (2023) proposed a set of design criteria for establishing Renewable Energy Communities (RECs) in a small-to-medium sized Italian city located in the Apennine hinterland. Their study highlights how the integration of locally available renewable resources can effectively meet the community’s energy demand once a REC framework is in place. The analysis builds upon data on thermal and electrical consumption provided by Sustainable Energy Action Plans (SEAPs). From these data, detailed hourly load profiles were reconstructed and matched with the renewable generation potential characteristic of the area. By strategically diversifying the portfolio of renewable technologies, the researchers demonstrate that local energy needs can be covered almost entirely, with only minimal reliance on the national grid. This approach strengthens the operational meaning of energy resilience within the community context [38].
Marchetti, Vitali, and Biancini (2024) analyzed the first REC pilot projects in the Marche region, demonstrating how energy sharing in earthquake-affected areas (Castelraimondo and the Unione Montana dei Monti Azzurri) can simultaneously address depopulation, employment shortages, and high energy costs while generating approximately 6.1 GWh/year of renewable energy. These results suggest that RECs can be strategically leveraged as tools for regional recovery and resilience in socio-economically fragile territories [39].
As a final review of the central Appenines experience, the ReSTART program, implemented within the CITI4GREEN framework, assessed over one thousand public interventions across Abruzzo, Lazio, Marche, and Umbria to evaluate their alignment with the United Nations’ 2030 Agenda. While most of the investments prioritized social and environmental sustainability—particularly education (SDG 4) and resilient urban development (SDG 11)—the contribution to clean energy transition (SDG 7) was limited. This imbalance highlights the need for a stronger integration of renewable energy communities (RECs) and energy sharing mechanisms within post-disaster reconstruction and regional development strategies [40].
Energy communities represent a strategic response to both depopulation and energy poverty in marginal areas of the Apennines. By enabling citizens, local authorities, and small businesses to collectively generate and manage renewable energy—primarily solar photovoltaics, small hydro, and biomass—they enhance resilience and reduce dependency on external energy supply. These forms of cooperation are crucial not only for decarbonization (SDG 13) but also for fostering inclusive governance models that strengthen local cohesion (SDG 16) and new economic opportunities consistent with sustainable growth (SDG 8).
The assessment conducted within the ReSTART project demonstrates that although reconstruction policies promoted environmental protection and social services, the energy dimension remains underrepresented. Incorporating energy sharing schemes into reconstruction frameworks could ensure that future investments not only rebuild infrastructure but also empower communities through decentralized energy systems. This would align regional resilience strategies with European Union directives on renewable energy communities and amplify their contribution to the SDGs. Ultimately, advancing RECs in the Central Apennines could transform post-disaster recovery into a long-term driver of climate action, territorial cohesion, and sustainable development.
From a governance perspective, the ComER project outlines practical tools and control algorithms to manage REC operation, including local storage optimization—a technology critical for communities in mountainous, grid fragile areas such as the Apennines [4]. A specific paper on optimal management of energy storage in RECs provides analytical models on how energy storage can minimize costs and maximize self-consumption in a cooperative setting—highly relevant to remote Central Apennine villages where grid reinforcement may be slow [5].
Thus, the Next Appennino program directly supports energy sharing schemes that also contribute to seismic safety and social resilience. For example, pilot REC projects integrated into earthquake-damaged villages prioritize roof-mounted PV plants with storage, shared among households along with coordinated retrofit of structural elements—combining community energy with safer buildings. These models align with SDG 7, SDG 11 and SDG 13, while contributing to long-term demographic retention in fragile rural areas.
Table 1 reports the regulatory, technical, and socio-economic dimensions of Renewable Energy Communities (RECs) in Italy and their contribution to the Sustainable Development Goals (SDGs). The table highlights how EU and national policies, regional legislative frameworks, operational projects, governance models, and technical innovations collectively shape the Italian REC landscape, demonstrating their potential to advance SDG 1 (No Poverty), SDG 7 (Affordable and Clean Energy), SDG 9 (Industry, Innovation and Infrastructure), SDG 10 (Reduced Inequalities), SDG 11 (Sustainable Cities and Communities), and SDG 13 (Climate Action).

3. Renewable Energy Communities in Europe

The European Union’s energy transition increasingly relies on Renewable Energy Communities (RECs) and energy sharing mechanisms as key instruments to promote decentralization, social inclusion, and decarbonization. These entities embody a shift from centralized systems dominated by large utilities to distributed, citizen-driven energy models aligned with the European Green Deal and the Clean Energy for All Europeans package. The Renewable Energy Directive (RED II, 2018/2001/EU) and the Internal Electricity Market Directive (IEMD, 2019/944/EU) formally recognized RECs and Citizen Energy Communities (CECs) as legal entities enabling citizens, local authorities, and small enterprises to jointly produce, share, and manage renewable energy within open and voluntary frameworks [41]. These directives aim to democratize access to clean energy while enhancing public participation and acceptance of renewables. The subsequent REPowerEU plan and RED III (Directive 2023/2413/EU) have strengthened these commitments, increasing the EU’s renewable target to 42.5% by 2030 and urging Member States to embed community participation in their national energy strategies [42].
Historically, the development of community-based energy systems in Europe can be traced to early cooperative movements in Germany, Denmark, and Italy, where local associations sought to electrify rural areas in the early 20th century [43]. However, the formal institutionalization of RECs only began with the Clean Energy Package (2019), which defined their legal, governance, and operational framework. Current estimates indicate the presence of 3,500–4,000 active energy communities across Europe, involving nearly one million citizens [44]. These communities take diverse forms—from rural cooperatives to urban multi-apartment systems and inter-municipal consortia—but share common objectives of enhancing energy independence, social equity, and environmental sustainability [45].
National transpositions of RED II have produced a heterogeneous policy landscape. Germany, with its long cooperative tradition, remains a leader through projects such as Feldheim Energy Village, which achieved complete energy self-sufficiency via local wind, biomass, and solar systems [46]. Austria’s Erneuerbaren-Ausbau-Gesetz (EAG 2021) provided a clear legal structure for RECs and CECs, coupled with a national coordination office to facilitate community participation and data transparency [47]. Italy has introduced a feed-in premium (110 €/MWh) through the Gestore Servizi Energetici (GSE), rewarding shared self-consumption within the same distribution substation and offering targeted support for municipalities under 5,000 inhabitants [48]. In the Netherlands, the Subsidieregeling Coöperatieve Energieopwekking (SCE) grants cooperative subsidies per kilowatt-hour of renewable energy produced [49]. Meanwhile, Spain and Portugal revised their restrictive frameworks in 2019 to allow collective self-consumption and energy sharing at the neighborhood scale, while Belgium and France have prioritized regulatory simplification and municipal partnerships [50]. Ireland’s Renewable Electricity Support Scheme (RESS) and Austria’s Coordination Office for Energy Communities exemplify enabling instruments combining financial and administrative assistance [51].
Technological innovation and market mechanisms underpin the functioning of RECs. Across Europe, peer-to-peer (P2P) energy trading and local energy markets have emerged as viable energy sharing mechanisms. The Quartierstrom project in Switzerland pioneered blockchain-based trading among 37 households, showing that dynamic pricing can double local self-consumption rates compared to standard net-metering arrangements [52]. Similar experiments have been carried out in Denmark, where the Lolland Hydrogen Community integrates wind generation with hydrogen storage for community use, and in Austria’s Erzeugungsgemeinschaften (GEA), which coordinate neighborhood-scale generation and consumption [53]. Among European RECs, photovoltaic (PV) technology is dominant due to its modularity and affordability, representing over 38% of generation capacity in surveyed projects, followed by wind (19%), biomass (17%), and biogas (15%) [54]. Hybrid and sector-coupled systems are expanding, combining electricity, heating, and hydrogen to increase resilience and self-sufficiency [55]. Technical optimization models demonstrate that incorporating battery storage, demand-side management (DSM), and sector coupling (SC) strategies can increase self-consumption above 80% and reduce grid congestion [56].
Policy design decisively shapes the evolution of these technical and social systems. The REScoop Transposition Tracker reveals that Austria, Italy, Germany, and the Netherlands score highest for both regulatory clarity and enabling frameworks, providing incentives, financing tools, and administrative support [57]. Conversely, several Eastern and Southern European countries exhibit delays in transposition or incomplete enabling frameworks, constraining REC development [58]. Governance models also differ: cooperative and citizen-led structures prevail in Germany, Denmark, and the Netherlands, whereas municipal or public-utility-driven RECs dominate in Italy and Spain [59]. National policies influence whether communities adopt profit-sharing or solidarity-based models, affecting citizen engagement and social legitimacy. Studies confirm that legal certainty and transparent governance increase participation and long-term viability [60].
In Figure 1 Renewable Energy Communities (RECs) diffusion and policy maturity across selected European countries is represented. The bar chart shows the approximate number of active RECs as of 2025, while the line indicates each country’s policy maturity index, based on REScoop’s Transposition Tracker and national legislative progress. The figure highlights how higher policy readiness (e.g., in Austria, Germany, and Italy) correlates with greater REC proliferation and technological diversification.
Economic incentives and benefit redistribution models are equally policy-dependent. Italy’s incentive scheme—based on a virtual calculation of shared energy within the same hourly window—has become a reference model for Europe [61]. Using cooperative game theory, researchers have proposed fair allocation methods (e.g., Shapley values) to distribute revenues among members according to their contribution to shared consumption [62]. Such schemes encourage behavioral adaptation, promoting self-consumption and equitable benefit sharing. Comparative analyses indicate that harmonized definitions of “shared energy” and standardized financial instruments across Member States would enhance cross-border learning and scalability [63].
The socioeconomic dimension of RECs extends beyond energy production. Studies across 71 European communities reveal that RECs foster energy justice, mitigate energy poverty, and strengthen social cohesion by reinvesting local energy revenues in community projects [64]. Their contribution aligns with the Sustainable Development Goals (SDG 7—Affordable and Clean Energy, SDG 11—Sustainable Cities and Communities, SDG 13—Climate Action). Empirical analyses also show that cooperative governance increases public trust and project acceptance, key drivers for renewable expansion at the local level [65]. Nevertheless, the persistence of bureaucratic barriers, fragmented regulation, and uneven financial support demonstrates that not all citizens currently benefit equally from REC opportunities. Harmonizing transposition processes while maintaining flexibility for local innovation remains the principal policy challenge [66].
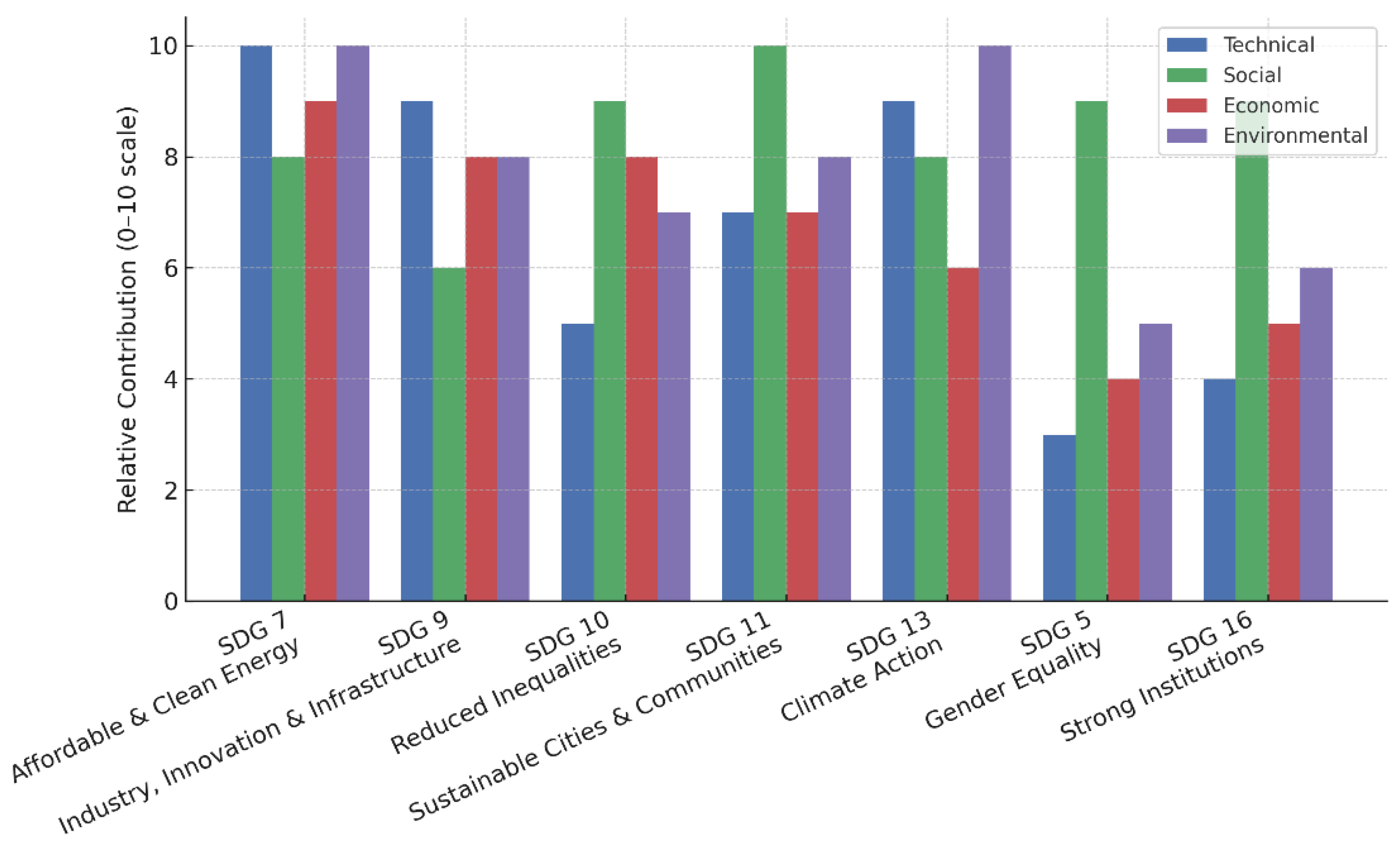
In Figure 2 the multidimensional impacts of Renewable Energy Communities (RECs) in Europe and their alignment with the Sustainable Development Goals (SDG 7 – Affordable and Clean Energy; SDG 9 – Industry, Innovation and Infrastructure; SDG 10 – Reduced Inequalities; SDG 11 – Sustainable Cities and Communities; SDG 13 – Climate Action) is presented.
Table 2 shows representative examples of Renewable Energy Communities (RECs) across Europe, showing their technological diversity and governance models. References correspond to the main scientific or institutional sources detailing each case.
In conclusion, European experience highlights that the influence of policy on REC development is multidimensional, affecting governance, technology, and economics. Where enabling frameworks—such as Austria’s fee reductions, Italy’s premium tariff, or the Netherlands’ cooperative subsidies—combine with social innovation and technological readiness, RECs thrive as pillars of the distributed energy transition. Conversely, incomplete transpositions, lack of financing, and regulatory fragmentation impede progress. Coherent multi-level governance, coupled with harmonized EU standards, will be crucial for ensuring that RECs contribute effectively to Europe’s decarbonization goals, social inclusion, and long-term energy resilience [67].

4. Human and Psychological Aspects of Renewable Energy Communities Development and Proliferation

The diffusion of renewable energy communities (RECs) across Europe has been shaped not only by technological and institutional innovations but also by the complex set of human, social, and psychological factors that determine citizens’ willingness to engage in collective energy action. At their core, RECs represent a social innovation in the energy sector, transforming citizens from passive consumers into “energy citizens” or prosumers who jointly manage, produce, and consume renewable energy [68]. This transition involves profound psychological and cultural changes, as it requires individuals to adopt new perceptions of energy ownership, cooperation, and environmental responsibility. Empirical evidence indicates that motivations to join a REC are rarely driven by economic incentives alone; rather, they emerge from a multidimensional interaction of environmental values, social trust, and a sense of belonging to a community [69]. Such psychosocial dynamics influence not only the decision to participate but also the long-term success and resilience of RECs.
From a psychosocial perspective, De Simone et al. (2025) conceptualize RECs as multilevel phenomena shaped by individual, community, and macro-systemic factors. Individual-level drivers include pro-environmental attitudes, altruism, and readiness to modify consumption behaviors, while community-level enablers encompass social capital, local trust, and shared identity [68]. Citizens’ motivation to cooperate in collective energy management often stems from a desire for autonomy from centralized energy suppliers and from the perception that local energy production enhances fairness and self-determination. These elements resonate with broader theories of social participation, where collective efficacy and perceived competence strengthen engagement in cooperative action. Conversely, low trust in institutions, limited social cohesion, and lack of experience in collaborative projects can hinder participation and lead to community disengagement [68]. Psychological barriers also arise from inequality in participation—gender biases, perceived exclusion from decision-making, or low technical literacy—which may reproduce traditional power imbalances within communities.
The emotional dimension of participation is equally relevant. Environmental concern, attachment to place, and moral responsibility act as catalysts for engagement, but emotional attachment can also generate resistance when local landscapes are perceived to be threatened by renewable infrastructures. This ambivalence illustrates that place attachment functions as both a driver and a barrier, depending on its affective orientation [68]. Similarly, the emotional rewards associated with collective success—such as pride, trust, and solidarity—reinforce the social identity of community members, sustaining participation beyond financial payback. These findings emphasize that REC proliferation depends on cultivating a psychological climate of mutual trust, recognition, and fairness, elements that foster long-term commitment and resilience.
At a broader level, human capital plays a decisive role in enabling these psychosocial mechanisms. As demonstrated by Rădulescu et al. (2025), human capital development—through education, technical competence, and social awareness—acts as a catalyst for sustainable cities and communities (SDG 11) [70]. Societies with higher human capital indices exhibit stronger environmental engagement and institutional trust, both of which are crucial for collective energy initiatives. However, the relationship is non-linear: in contexts where education and wealth are high, motivation may shift toward individualistic rather than communal goals, potentially weakening participation. This suggests that human capital must be coupled with participatory education and inclusive governance to translate technical skills into cooperative behavior. The intersection of human and psychological dimensions thus reveals that REC success is contingent upon aligning cognitive competencies with affective and social capacities for collaboration.
The psychosocial structure of RECs also contributes to the achievement of multiple Sustainable Development Goals beyond SDG 7 and 11, notably SDG 5 (Gender Equality) and SDG 13 (Climate Action). Women’s leadership and inclusive participation have been found to enhance procedural justice and energy democracy within communities [68]. Furthermore, RECs generate social learning processes that reinforce environmental citizenship and local empowerment, creating positive feedback loops between individual awareness and collective sustainability outcomes. These mechanisms illustrate the reciprocal nature of human factors in RECs: while social capital and trust enable participation, participation itself enhances social cohesion and psychological well-being, fostering a virtuous circle of empowerment and sustainability.
Finally, the human and psychological dimensions underline that REC proliferation cannot rely solely on economic or technical optimization. Policies promoting RECs must incorporate behavioral insights and participatory governance frameworks that nurture citizens’ sense of agency and belonging. Training programs, inclusive decision-making, transparent communication, and recognition of emotional and cultural values are essential to building trust and commitment. In this sense, RECs are not merely energy infrastructures but socio-psychological systems in which cooperation, identity, and learning constitute the real engines of the energy transition. Their expansion across Europe, particularly in rural and inner-mountain areas such as the Central Apennines, offers an opportunity to reconnect energy transition with community regeneration and human development—transforming energy sharing into a pathway toward collective resilience and sustainable well-being [69,70,71].
Figure 3 shows the main psychological and social enablers and barriers influencing the development and proliferation of Renewable Energy Communities (RECs) in Europe. Positive drivers (in green) include trust, identity, education, and fair governance, while major barriers (in red) are administrative complexity, low technical literacy, and social inequality.
A significant example of the intersection between social resilience, human psychology, and energy transition is offered by the post-2016 earthquake reconstruction in the Central Apennines. As Castelli (2024) highlights, the NextAppennino program was conceived not merely as an infrastructure initiative but as a cultural and social project aimed at revitalizing communities and restoring the human–nature balance that has long defined these territories. The promotion of Renewable Energy Communities (RECs) within this framework represents a profound innovation: by enabling citizens to collectively produce and share clean energy, RECs encourage a renewed sense of belonging, cooperation, and shared responsibility toward the land.
This approach also addresses the psychological and demographic challenges of inner areas affected by depopulation and environmental neglect. In regions where human presence is rapidly declining, the act of rebuilding through energy communities helps re-anchor individuals to place and identity, transforming energy transition into a process of territorial care. Castelli (2024) notes that the need for active stewardship arises not only from economic necessity but from the ecological fragility of landscapes undergoing rapid transformation—where land abandonment and unmanaged reforestation have amplified climate-related risks.
In this perspective, energy communities serve as catalysts for both environmental adaptation and social cohesion. They offer a participatory model in which technical innovation merges with collective memory and emotional attachment to place, strengthening the community’s psychological resilience. Preventing land abandonment thus becomes more than a policy objective—it becomes an ethical and existential commitment to preserve the living relationship between people and their environment. As Castelli (2024) reminds us, the landscapes of the Apennines are “artificialized natures,” shaped through centuries of human interaction; sustaining them through cooperative energy initiatives is not only an act of environmental responsibility but also a reaffirmation of cultural continuity and shared identity [72].
Figure 4 shows a graphical abstract illustrating the interconnections between energy sharing mechanisms, such as Renewable Energy Communities (RECs), peer-to-peer trading, and local energy markets, and their contribution to key Sustainable Development Goals (SDGs), including affordable and clean energy (SDG 7), industry, innovation and infrastructure (SDG 9), reduced inequalities (SDG 10), sustainable cities and communities (SDG 11), and climate action (SDG 13).

5. Conclusions

The global shift toward decentralized and participatory energy systems marks a critical juncture in the transition toward sustainable development. This review demonstrates that energy sharing mechanisms—such as Renewable Energy Communities (RECs), peer-to-peer trading, virtual power plants, and local energy markets—represent transformative instruments capable of accelerating progress toward multiple Sustainable Development Goals (SDGs), particularly SDG 7 (Affordable and Clean Energy), SDG 11 (Sustainable Cities and Communities), and SDG 13 (Climate Action). Beyond their environmental contributions, these mechanisms advance social inclusion (SDG 10), innovation and infrastructure development (SDG 9), and poverty alleviation (SDG 1) through cooperative governance and equitable benefit redistribution.
At the European level, the evolution of RECs reveals a diverse but converging landscape shaped by the transposition of the Clean Energy Package and the subsequent RED III Directive. Countries such as Austria, Germany, and Italy exhibit mature regulatory and financial frameworks that have enabled thousands of communities to actively participate in the energy market. Conversely, several Member States still face structural and administrative barriers that limit access and scalability. These asymmetries underline the importance of harmonized definitions, standardized incentives, and multi-level can be localized to enhance resilience, community participation, and territorial cohesion. Regional legislation, targeted funding, and grassroots initiatives have created a fertile environment for REC proliferation, while case studies in the Central Apennines demonstrate that energy sharing can serve as a driver for post-disaster reconstruction and demographic revitalization. Integrating RECs into broader recovery and territorial planning strategies can transform reconstruction efforts into long-term engines of sustainability, aligning with EU decarbonization goals and the Next Appennino program’s integrated vision of energy, environment, and society.
Technological progress—ranging from blockchain-enabled energy trading to AI-based management systems—has proven essential for the efficient operation of RECs, optimizing self-consumption, energy storage, and grid stability. Yet, technology alone cannot secure their success. The human and psychological dimensions play a decisive role in shaping participation, trust, and social legitimacy. Evidence across Europe shows that environmental values, place attachment, and perceptions of fairness drive citizens’ willingness to cooperate, while social inequalities, limited technical literacy, and administrative complexity act as barriers. Hence, RECs must be understood as socio-technical systems, where collective identity, transparency, and education are as vital as technical optimization.
Looking forward, energy sharing mechanisms can act as laboratories for systemic innovation, linking climate action with inclusive growth. To unlock their full potential, future policies should:
1. Strengthen legal and financial support for community-based renewable projects, particularly in vulnerable or peripheral regions.
2. Promote participatory governance and gender-inclusive leadership to enhance procedural justice.
3. Foster integration between energy, digitalization, and social policy to ensure that community energy remains a tool for empowerment rather than exclusion.
4. Encourage cross-border cooperation and knowledge exchange within the EU to accelerate learning and harmonization.
Ultimately, the proliferation of RECs and other energy sharing schemes represents a paradigmatic shift from centralized supply to distributed responsibility, embodying the principles of democratization, resilience, and sustainability. By coupling technological innovation with social participation, these mechanisms can turn the energy transition into a broader human transition—one that reconciles environmental goals with social justice and collective well-being, fully aligned with the ambitions of the 2030 Agenda.

Author Contributions

Conceptualization, B.M., F.C. and G.C.; Methodology, B.M..; Formal analysis, B.M.; Data curation, B.M.; Writing—original draft, B.M.; Writing—review & editing, B.M., G.C., F.C. All authors have read and agreed to the published version of the manuscript.

Funding

This research received no external funding.

Data Availability Statement

The data presented in this study are available on request from the corresponding author due to privacy reasons.

Acknowledgments

The authors wish to express their gratitude to National Commissioner’s Office, for his invaluable support in providing the historical context and insights into the critical challenges faced by the territories of the Central Apennines due to the population decline. The contribution of the entire office greatly enhanced the depth and understanding of the socio-economic dynamics influencing land use changes in the region.

Conflicts of Interest

The authors declare no conflict of interest.

References

  1. Islam, S. N. (2024). A Review of Peer-to-Peer Energy Trading Markets: Enabling Models and Technologies. Energies, 17(7), 1702. [CrossRef]
  2. Zhou, Y., & Lund, P. D. (2023). Peer-to-peer energy sharing and trading of renewable energy in smart communities – trading pricing models, decision-making and agent-based collaboration. Renewable Energy. [CrossRef]
  3. Kalkbrenner, B. J., & Roosen, J. (2016). Citizens’ willingness to participate in local renewable energy projects: The role of community and trust in Germany. Energy Research & Social Science, 13, 60-70. [CrossRef]
  4. Goedkoop, F., Sloot, D., Jans, L., Dijkstra, J., Flache, A., & Steg, L. (2021). The role of community in understanding involvement in community energy initiatives. Front. Psychol. 12, 775752. [CrossRef]
  5. Pigliautile, I., Breukers, S., Boekelo, M., Carnero, P., Causone, F., Arko, S., ... & D’Oca, S. (2022). Peer-to-peer energy communities: regulatory barriers in the EU context. Open Research Europe, 2(147), 147.
  6. Zedan, M., Nour, M., Shabib, G., Nasrat, L., & Ali, A. A. (2024). Review of peer-to-peer energy trading: Advances and challenges. e-Prime-Advances in Electrical Engineering, Electronics and Energy, 10, 100778. [CrossRef]
  7. Tanis, Z., Durusu, A., & Altintas, N. (2025). A Comprehensive Review on Peer-to-Peer Energy Trading: Market Structure, Operational Layers, Energy Cooperatives and Multi-energy Systems. IET Renewable Power Generation, 19(1), e70075. [CrossRef]
  8. Schneiders, A., Fell, M. J., & Nolden, C. (2022). Peer-to-peer electricity trading and the sharing economy: Social, markets and regulatory perspectives. Energy Sources, Part B: Economics, Planning, and Policy, 17(1), 2050849. [CrossRef]
  9. Losada-Puente, L., Blanco, J. A., Dumitru, A., Sebos, I., Tsakanikas, A., Liosi, I., Psomas, S., & Rodríguez, E. (2023). Cross-case analysis of the energy communities in Spain, Italy, and Greece: progress, barriers, and the road ahead. Sustainability, 15(18), 14016. [CrossRef]
  10. Clean Energy for All Europeans Package. Available online: https://energy.ec.europa.eu/topics/energy-strategy/clean-energy-all-europeans-package_en (accessed on August 2025).
  11. DECRETO LEGISLATIVO 8 novembre 2021, n. 199. https://www.gazzettaufficiale.it/eli/id/2021/11/30/21G00214/sg (Accessed on August 5, 2025).
  12. Lowitzsch, J., Hoicka, C. E., & van Tulder, F. J. (2020). Renewable energy communities under the 2019 European Clean Energy Package. Renewable and Sustainable Energy Reviews, 122, 109489.
  13. GSE data elaboration from the authors https://www.gse.it/dati-e-scenari/statistiche (Accessed August 2025).
  14. Grignani, A., Gozzellino, M., Sciullo, A., & Padovan, D. (2021). Community cooperative: A new legal form for enhancing social capital for the development of renewable energy communities in Italy. Energies, 14(21), 7029. [CrossRef]
  15. Uihlein, A. and Caramizaru, A., Energy communities – An overview of energy and social innovation, Publications Office, 2020. https://data.europa.eu/doi/10.2760/180576.
  16. Tatti, A., Ferroni, S., Ferrando, M., Motta, M., & Causone, F. (2023). The emerging trends of renewable energy communities’ development in Italy. Sustainability, 15(8), 6792. [CrossRef]
  17. Di Fazio, A. R., Conte, F., & Natrella, G. (2024, October). Enhancing Management and Control of Renewable Energy Communities: A Practical Implementation. In 2024 3rd International Conference on Energy Transition in the Mediterranean Area (SyNERGY MED) (pp. 1-5). IEEE.
  18. Moretti, E., & Stamponi, E. (2023). The renewable energy communities in italy and the role of public administrations: The experience of the municipality of Assisi between challenges and opportunities. Sustainability, 15(15), 11869. [CrossRef]
  19. Dimovski, A., Moncecchi, M., & Merlo, M. (2023). Impact of energy communities on the distribution network: An Italian case study. Sustainable Energy, Grids and Networks, 35, 101148. [CrossRef]
  20. F. Conte, F. Silvestro, A. Vinci and A. R. Di Fazio, “Optimal Coordination and Discount Allocation in Residential Renewable Energy Communities with Smart Home Appliances,” 2023 IEEE Belgrade PowerTech, Belgrade, Serbia, 2023, pp. 01-08. [CrossRef]
  21. Carraro, G., Dal Cin, E., & Rech, S. (2024). Integrating Energy Generation and Demand in the Design and Operation Optimization of Energy Communities. Energies, 17(24), 6358. [CrossRef]
  22. Tortorelli, A., Sabina, G., & Marchetti, B. (2024). A Cooperative Multi-Agent Q-Learning Control Framework for Real-Time Energy Management in Energy Communities. Energies (19961073), 17(20). [CrossRef]
  23. Gianaroli, F., Ricci, M., Sdringola, P., Ancona, M. A., Branchini, L., & Melino, F. (2024). Development of dynamic sharing keys: Algorithms supporting management of renewable energy community and collective self consumption. Energy and Buildings, 311, 114158. [CrossRef]
  24. Wirth, S. (2014). Communities matter: Institutional preconditions for community renewable energy. Energy policy, 70, 236246. [CrossRef]
  25. Candelise, C., & Ruggieri, G. (2020). Status and evolution of the community energy sector in Italy. Energies, 13(8), 1888. [CrossRef]
  26. Zhu, Y., Salvalai, G., & Zangheri, P. (2025). Italian renewable energy communities: status and prospect development analysis. Energy and Buildings, 116404. [CrossRef]
  27. Sciullo, A., Gilcrease, G. W., Perugini, M., Padovan, D., Curli, B., Gregg, J. S., Arrobbio, O., Meynaerts, E., Delvaux, S., Polo-Alvarez, L., Candelise, C., van der Waal, E., van der Windt, H., Hubert, W., Ivask, N. and Muiste, M. (2022). Exploring institutional and socio-economic settings for the development of energy communities in Europe. Energies, 15(4), 1597. [CrossRef]
  28. Mazzantini, N., & Risucci, V. (2024). Sustainability in the Energy Sector: A Study of Proactive and Reactive Approaches. The Case of Enel and Eni. https://hdl.handle.net/20.500.14490/832.
  29. Romano, G., Baiani, S., & Mancini, F. (2024). Integrating Technological Environmental Design and Energy Interventions in the Residential Building Stock: The Pilot Case of the Small Island Procida. Sustainability, 16(18), 8071. [CrossRef]
  30. Battaglia, V., Ceglia, F., Laudiero, D. M., Maione, A., Marrasso, E., & Vanoli, L. (2024). Empowering energy communities through geothermal systems. Energies, 17(5), 1248. [CrossRef]
  31. Lipari, S. (2025). Socioecological marginality as a fix: leveraging inequality to valorise and legitimise capital in Southern Italy industrial-scale wind energy. GEOFORUM, 164. [CrossRef]
  32. Next Appennino Program https://www.nextappennino.gov.it.
  33. Marinelli, G., Domenella, L., Galasso, M., & Rotondo, F. (2022). Planning seismic inner areas in central Italy. Applications for the infrastructural project, lifeline and resilient public space in the shrinking territory. TEMA, 195-211.
  34. Finanziaria Regionale Abruzzese (FIRA), In Abruzzo finanziate 18 Comunità Energetiche Rinnovabili. Available at: https://www.fira.it/in-abruzzo-finanziate-18-comunita-energetiche-rinnovabili/.
  35. Camera di Commercio dell’Umbria, Determinazione del Segretario Generale n. 336 del 23.06.2023.
  36. Presidenza del Consiglio dei Ministri – Commissario Straordinario Ricostruzione Sisma 2009, Novità per le Comunità Energetiche Rinnovabili nei territori del cratere sismico dell’Aquila. Available at: https://sisma2016.gov.it/2025/07/15/cer-nellappennino-centrale-salgono-da-23-a-40-i-progetti-finanziati/.
  37. Brunelli, L., Belloni, E., Pigliautile, I., Cardelli, R., Pisello, A. L., & Cotana, F. (2025). A novel methodology for accessible design of multi-source renewable energy community: application to a wooded area in central Italy. International Journal of Electrical Power & Energy Systems, 165, 110496. [CrossRef]
  38. Di Paolo, L., Di Martino, A., Di Battista, D., Carapellucci, R., Cipollone, R. (202), J. Phys.: Conf. Ser. 2648 012012. [CrossRef]
  39. Marchetti, B., Vitali, M., & Biancini, G. (2024). Renewable energy proliferation and the new local energy community paradigm: analysis of a case study in Italy. Energies, 17(7), 1599. [CrossRef]
  40. Grimaldi, M., & Marra, A. (2025). Optimizing the Spatial Configuration of Renewable Energy Communities: A Model Applied in the RECMOP Project. [1] Islam, S. N. (2024). A Review of Peer-to-Peer Energy Trading Markets: Enabling Models and Technologies. Energies, 17(7), 1702. [CrossRef]
  41. Lowitzsch, J., Hoicka, C. E., & van Tulder, F. J. (2020). Renewable energy communities under the 2019 European Clean Energy Package—Governance model for the energy clusters of the future? Renewable and Sustainable Energy Reviews, 122, 109489. [CrossRef]
  42. European Parliament. (2023). Directive (EU) 2023/2413 on the promotion of energy from renewable sources. Official Journal of the European Union.
  43. Huybrechts, B., & Mertens, S. (2014). The relevance of the cooperative model in the field of renewable energy. Annals of Public and Cooperative Economics, 85(2), 193–212. [CrossRef]
  44. Koltunov, A., et al. (2023). Mapping of energy communities in Europe. University of Trieste.
  45. Caramizaru, A., & Uihlein, A. (2020). Energy Communities: An Overview of Energy and Social Innovation. Publications Office of the European Union. [CrossRef]
  46. Young, J., & Brans, M. (2017). Analysis of factors affecting a shift in a local energy system towards 100% renewable energy community. Journal of Cleaner Production, 169, 117–124. [CrossRef]
  47. Fina, B., & Fechner, H. (2021). Transposition of European guidelines for energy communities into Austrian law. Energies, 14(13), 3922. [CrossRef]
  48. Moncecchi, M., Meneghello, S., & Merlo, M. (2020). A game-theoretic approach for energy sharing in the Italian renewable energy communities. Applied Sciences, 10(22), 8166. [CrossRef]
  49. HIER. (2023). Subsidieregeling Coöperatieve Energieopwekking (SCE). Utrecht, The Netherlands. https://www.hier.nu.
  50. Inês, C., Guilherme, P. L., Esther, M.-G., Swantje, G., Stephen, H., & Lars, H. (2020). Regulatory challenges and opportunities for collective renewable energy prosumers in the EU. Energy Policy, 138, 111212. [CrossRef]
  51. REScoop. (2022). Transposition Tracker: Renewable Energy Communities in Europe. Retrieved from https://www.rescoop.eu/policy.
  52. Ableitner, L., Meeuw, A., Schopfer, S., Tiefenbeck, V., Wortmann, F., & Wörner, A. (2019). Quartierstrom – Implementation of a real-world prosumer-centric local energy market in Walenstadt, Switzerland. [CrossRef]
  53. Nordic Energy Research. (2023). Citizen Energy Communities in the Nordics.
  54. Lazdins, R., Mutule, A., & Zalostiba, D. (2021). PV Energy Communities—Challenges and Barriers from a Consumer Perspective. Energies, 14(16), 4873. [CrossRef]
  55. Ceglia, F., Marrasso, E., & Sasso, M. (2023). Towards the decarbonization of industrial districts through renewable energy communities. Energies, 16(6), 2722. [CrossRef]
  56. Todeschi, V., Marocco, P., Mutani, G., Lanzini, A., & Santarelli, M. (2021). Towards energy self-sufficiency in urban energy communities. International Journal of Heat Technology, 39(1), 1–11. [CrossRef]
  57. Magni, G. U., Battistelli, F., Trovalusci, F., Groppi, D., & Astiaso Garcia, D. (2024). How national policies influence energy community development across Europe. Energy Conversion and Management: X, 23, 100624. [CrossRef]
  58. Haji Bashi, M., et al. (2023). Energy community regulatory challenges in European member states. Renewable and Sustainable Energy Reviews, 172, 113055. [CrossRef]
  59. Candelise, C., & Ruggieri, G. (2020). Status and evolution of the community energy sector in Italy. Energies, 13(8), 1888. [CrossRef]
  60. Bauwens, T. (2016). Explaining the diversity of motivations behind community renewable energy. Energy Policy, 93, 278–290. [CrossRef]
  61. Casalicchio, V., Manzolini, G., Prina, M. G., & Moser, D. (2022). From investment optimization to fair benefit distribution in renewable energy community modelling. Applied Energy, 310, 118447. [CrossRef]
  62. Hoicka, C. E., Lowitzsch, J., Brisbois, M. C., Kumar, A., & Ramirez Camargo, L. (2021). Implementing a just renewable energy transition. Energy Policy, 156, 112435. [CrossRef]
  63. Hanke, F., Guyet, R., & Feenstra, M. (2021). Do renewable energy communities deliver energy justice? Energy Research & Social Science, 80, 102244. [CrossRef]
  64. Bielig, M., Kacperski, C., & Klingert, S. (2022). Critically reviewing the social impact of energy communities in Europe. Energy Research & Social Science, 94, 102859. [CrossRef]
  65. Reinsberger, K., & Posch, A. (2014). Bottom-up initiatives for photovoltaic adoption: Incentives and barriers. Journal of Sustainable Development of Energy, Water and Environment Systems, 2(2), 108–117. [CrossRef]
  66. Magni, G. U., Battistelli, F., Trovalusci, F., Groppi, D., & Astiaso Garcia, D. (2024). How national policies influence energy community development across Europe. Energy Conversion and Management: X, 23, 100624.
  67. Hoicka, C. E., et al. (2021). Implementing a just renewable energy transition: Policy advice for transposing the new European rules for renewable energy communities. Energy Policy, 156, 112435. [CrossRef]
  68. De Simone, E., Rochira, A., Procentese, F., Sportelli, C., & Mannarini, T. (2025). Psychological and social factors driving citizen involvement in renewable energy communities: A systematic review. Energy Research & Social Science, 124, 104067. [CrossRef]
  69. Rochira, A., De Simone, E., & Mannarini, T. (2022). Community resilience and continuous challenges: A qualitative analysis of the functioning of communities in the aftermath of persistent and ordinary stressors. Journal of Community Psychology. [CrossRef]
  70. Rădulescu, M., Simionescu, M., Kartal, M. T., Mohammed, K. S., & Balsalobre-Lorente, D. (2025). The impact of human capital, natural resources, and renewable energy on achieving sustainable cities and communities in European Union countries. Sustainability, 17(5), 2237. [CrossRef]
  71. Allen, E., Lyons, H., & Stephens, J. C. (2019). Women’s leadership in renewable transformation, energy justice and energy democracy: Redistributing power. Energy Research & Social Science, 57, 101233. [CrossRef]
  72. Castelli, G. (2024). Mediae terrae. Dopo il terremoto: la rinascita dell’Italia centrale oltre la fragilità del territorio. Historica Edizioni, 87–109.
Figure 1. Diffusion of Renewable Energy Communities (RECs) and policy maturity across selected European countries.
Figure 1. Diffusion of Renewable Energy Communities (RECs) and policy maturity across selected European countries.
Preprints 179833 g001
Figure 2. Multidimensional impacts of Renewable Energy Communities (RECs) in Europe.
Figure 2. Multidimensional impacts of Renewable Energy Communities (RECs) in Europe.
Preprints 179833 g002
Figure 3. Enablers and barriers to RECs development.
Figure 3. Enablers and barriers to RECs development.
Preprints 179833 g003
Figure 4. Link between energy sharing mechanisms and Sustainable Development Goals.
Figure 4. Link between energy sharing mechanisms and Sustainable Development Goals.
Preprints 179833 g004
Table 1. Key dimensions of Renewable Energy Communities (RECs) in Italy and their contribution to the Sustainable Development Goals.
Table 1. Key dimensions of Renewable Energy Communities (RECs) in Italy and their contribution to the Sustainable Development Goals.
Dimensioni Key Elements Examples / Evidence Related SDGs
EU & National Policy Framework EU target of climate neutrality by 2050; promotion of renewable resources, distributed generation, and smart grids. Transposition of RED II (Leg. Decree 199/2021). EU Directives 2018/2001, 2019/944; Clean Energy Package; Italian decree 199/2021. SDG 7, SDG 13
Demand-Side Management & Citizen Role Load shifting, peak shaving, energy storage; consumers as active participants. Citizen Energy Communities (CECs) and Renewable Energy Communities (RECs). SDG 9, SDG 11
Regional Legislative Initiatives Regional REC laws and financial incentives vary widely. Abruzzo (LR 8/2022), Basilicata (LR 12/2022), Emilia-Romagna (LR 5/2022), Umbria (LR 6/2024), Lombardy (LR 2/2022), Sicily (€61m FESR), Valle d’Aosta subsidies. SDG 10, SDG 11
Operational RECs in Italy 212 active RECs (18 MW, 1,956 users, March 2025). Nearly 600 projects under planning. Gagliano Aterno (rural REC, Abruzzo), CER Solidale Napoli Est (urban REC, Campania). PV-dominated, but also wind, biomass, hydro, storage. SDG 7, SDG 11
Socio-Institutional Dimension Cooperative governance fosters trust and participation; municipalities as key actors. Social inclusion and poverty alleviation are core goals. Grignani et al. (2021); Caramizaru & Uihlein (2020); Assisi top-down REC; solidarity-based RECs; Next Appennino program supporting REC initiatives in earthquake-affected areas of the Central Apennines. SDG 1, SDG 10, SDG 11
Technical & Infrastructural Studies Grid impact studies, optimization models, AI-based control, demand-side flexibility, storage integration. Dimovsky et al. (2023), Conte et al. (2023), Tortorelli et al. (2024), Gianaroli et al. (2024). SDG 9, SDG 13
Regional and National Support Programs National budget of €5.7 billion (2023 decree). 14 regional schemes mapped by Politecnico di Milano. Support directed at municipalities & local authorities; technical + financial support. SDG 7, SDG 11
Innovative and Hybrid Models Large-scale participatory renewables, island microgrids, geothermal, wind in marginal areas. Enel’s Trino solar farm (crowdfunding), Procida microgrid, Apulo-Campano Apennines wind projects. SDG 7, SDG 9, SDG 13
Overall Impact Italian RECs as testing ground for regulatory innovation, social cohesion, energy poverty reduction, resilience, and decarbonization. Expanding portfolio: rural & urban RECs, solidarity-based, inter-municipal, condominium, island contexts. SDG 1, SDG 7, SDG 9, SDG 10, SDG 11, SDG 13
Table 2. Representative Examples of Renewable Energy Communities (RECs) Across Europe.
Table 2. Representative Examples of Renewable Energy Communities (RECs) Across Europe.
Country Example / Project Main Features Reference
Austria OurPower Cooperative Nationwide renewable-energy cooperative enabling P2P electricity trading among citizens. [47]
Belgium EnerGent (Ghent) Citizen-driven PV cooperative supporting local prosumers and energy efficiency. [68]
Bulgaria Solar Academy REC (Sofia) Pilot educational REC integrating PV on schools and municipal buildings. [69]
Croatia Zelena Energetska Zadruga (ZEZ) National umbrella cooperative supporting rooftop solar RECs. [70]
Cyprus Kofinou Community Project Collective PV installation for municipal services and residents. [69]
Czech Republic Brno Energy Community Pilot integrating PV generation with district heating and storage. [69]
Denmark Lolland Hydrogen Community Wind-hydrogen system coupling renewable generation with CHP for local use. [53]
Estonia Tartu Smart City REC Smart-grid demonstration combining PV, EV charging, and storage. [69]
Finland Lähienergia Cooperative Community solar and heat-sharing network in the Helsinki region. [69]
France Béthune Renewable Cooperative Citizen-municipal REC installing PV on public roofs. [45]
Germany Feldheim Energy Village Fully self-sufficient renewable community integrating wind, PV, biomass, and district heating. [46]
Greece Kozani Energy Community Cooperative with >500 members generating solar energy and reinvesting profits locally. [58]
Hungary Zöld Falu (Green Village) Biogas-solar rural REC improving local energy security. [69]
Ireland Templederry Wind Farm Cooperative First Irish community-owned wind farm; profits reinvested locally. [50]
Italy CER Magliano Alpi (Piedmont) First officially recognized Italian REC (2020); PV-based self-consumption. [55]
Latvia Jelgava Solar Cooperative PV installations on municipal buildings promoting citizen ownership. [54]
Lithuania Kaunas REC Pilot National pilot integrating distributed PV and digital metering. [69]
Luxembourg TM EnerCoop Municipal-citizen cooperative operating a shared PV network. [69]
Malta San Lawrenz Solar Community Shared PV system for public buildings and residents. [69]
Netherlands Zuiderlicht Cooperative (Amsterdam) Citizen-owned solar cooperative with >600 members; supported by the SCE scheme. [49]
Poland Pilica Energy Cluster Regional REC integrating renewable generation and storage. [69]
Portugal Évora InovGrid REC Smart-grid REC integrating PV and demand-side flexibility. [50]
Romania Energy Community Banat Cooperative REC targeting energy poverty and inclusion. [69]
Slovakia Žilina Smart REC Pilot integrating PV, heat pumps, and digital control. [69]
Slovenia Ljubno REC Small-scale hydro-PV cooperative in a rural municipality. [69]
Spain Albalat dels Sorells REC (Valencia) Public-citizen REC coupling rooftop PV with social programs. [71]
Sweden Gothenburg Smart REC Microgrid combining PV, batteries, and EV charging. [53]
Disclaimer/Publisher’s Note: The statements, opinions and data contained in all publications are solely those of the individual author(s) and contributor(s) and not of MDPI and/or the editor(s). MDPI and/or the editor(s) disclaim responsibility for any injury to people or property resulting from any ideas, methods, instructions or products referred to in the content.
Copyright: This open access article is published under a Creative Commons CC BY 4.0 license, which permit the free download, distribution, and reuse, provided that the author and preprint are cited in any reuse.
Prerpints.org logo

Preprints.org is a free preprint server supported by MDPI in Basel, Switzerland.

Subscribe

Disclaimer

Terms of Use

Privacy Policy

Privacy Settings

© 2025 MDPI (Basel, Switzerland) unless otherwise stated