Preprint
Article

This version is not peer-reviewed.

The Wave-Particle Dualism of Photons as Seen from an Informational Perspective

A peer-reviewed article of this preprint also exists.

Submitted:

11 July 2025

Posted:

14 July 2025

You are already at the latest version

Abstract
The paper deals with J. A. Wheeler´s proposal [1] that each piece of reality owes its existence due to observation - an approach to physics which implies that all physical entities at their bottom are informational in character. Focusing on the double-slit experiment with photons, which is the key evidence for the wave-particle dualism of photons, the paper follows Wheeler´s observational approach and interprets this experiment as a question posed to nature. Considering how the enquiry regarding the wave-particle duality of photons is answered by nature, it is shown that experimental questions are being answered by nature in the form of spatiotemporal patterns of elementary observations (EOs) which are binary pieces of information, produced by the dissipation of energy. Working through this line of thought, Wheeler´s statements of “binary information gain”, “observer participance”, and the “impossibility of continuum idealizations of physical laws” are elucidated and connections to the Landauer Principle being made. It is further shown that the wave-particle dualism of photons involves a dilemma of incompatible forms of existence, a problem which can be resolved by a discontinuous form of photon propagation in which photons repeatedly materialize and annihilate while being forward-shifted in space by finite distances equivalent to half the photon wavelength.
Keywords: 
;  ;  ;  ;  ;  ;  ;  

1. Introduction

Throughout the history of science, the nature of light was an intensely debated subject that kept famous scientists busy over several centuries up to the present time. In the 17th century, i.e. upon the onset of modern science, two opposing views concerning the nature of light existed: while Isaac Newton [2,3] advocated a corpuscular nature of light, Christiaan Huygens [4] favored a wave-like picture of light. This controversy turned towards an overwhelmingly accepted wave-nature of visible light when Thomas Young published the results of his interference experiments in 1807 [5]. Another piece of evidence in favor of the wave nature of light was the observation of Poisson spots [6,7], i.e. bright spots of light in the center of dark shadows of circular obstacles blocking off visible-light sources. This general belief in the wave nature of light was shattered in the early 20th century when Max Planck [8] showed that the frequency spectra of the thermal radiation emitted from black-bodies could only be satisfactorily explained on the assumption that light is exchanged between the cavities and the heated walls of black-body sources in the form of light quanta of sizes E p h = h ν , where E p h stands for the energy of the light quanta, ν for the frequency of light and h = 1.034 × 10 15 e V s for the elementary quantum of physical action. In his noble-prize paper of 1905 [9], Einstein generalized the idea of light quanta to all those occasions in which light was generated, absorbed or converted into different forms, as for instance in luminescence interactions or in the photo-electric effect. With freely propagating light still proceeding in a wave-like manner, Einstein proposed that light behaves much more like a corpuscular particle when it is generated, absorbed or turned into different forms. Einstein´s paper, therefore, can be viewed as a first statement of a wave-particle dualism of light. Key experiments that later confirmed the dual nature of light were the Compton scattering experiments of X-rays on electrons [10] and interference experiments with photons passing in a one-by-one manner through a two-slit diaphragm on their way towards a photographic detection screen [11]. For the sake of clarity and further discussion, both experiments are sketched in Figure 1a,b. below.
While the Compton scattering experiments showed that X-ray photons can transfer momentum to an electron much as if two corpuscular pieces of matter had collided with each other [10], the double-slit experiment with photons (DSE) [11] indicated that travelling photons can freely alternate between particle- and wave-like motion within one single experiment. Following Einstein´s arguments [9], photons are emitted from the source in Figure 1b in corpuscular form and then proceed through open space in an undulatory manner until they hit the double-slit obstacle, where their motion becomes broken up into several streams of diffracted wave trains which finally interact with the detection screen. Once arrived there, the photons are absorbed in a corpuscular form, thereby producing seeming “particle impacts” with a spatial distribution characteristic of a classical diffraction pattern. Assuming that sharply localized particles and continuously distributed waves are primary forms of existence, the DSE leads to the dilemma of a wave-particle duality of photons that embraces two mutually incompatible forms of existence.
A further decisive step forward was taken in 1989 by John Archibald Wheeler [1], who asked the question of “How comes existence?”. In his seminal paper he proposed that every piece of reality owes its existence due to observation, an idea which he epitomized as IT from BIT. Reading through Wheeler´s paper, his view of an observation-based physics is no less mind-boggling than the more familiar concept of a wave-particle duality [12,13] as it deeply touches on the assumption of a pre-existing material world that exists independent of human existence. In order to reveal the mental challenges imposed by Wheeler´s approach, we simply quote the four main conclusions in his seminal paper [1]:
“(1) The world cannot be a giant machine, ruled by any preestablished continuum physical law; (2) There is no such thing at the microscopic level as space or time or spacetime; (3) The familiar probability function … of standard quantum-mechanical theory provides a mere continuum idealization … that conceals the information-theoretic source from which it arrives; (4) No element in the description of physics shows itself closer to primordial than the elementary quantum phenomenon, i.e. the elementary device-intermediated act of posing a yes-no physical question and eliciting an answer or, in brief, the elementary act of observer participance. Otherwise stated, every physical quantity, every “IT”, derives its ultimate significance from “BITs”, i.e. binary yes-no indications, a conclusion which we epitomize in the phrase ”IT from BIT”.
Wheeler´s ”IT from BIT” statement opened a controversial discussion confronting the innovative ”IT from BIT” vs. the more classical "BIT form IT” approaches [14,15,16,17,18,19]. In the following sections, we follow Wheeler´s general reasoning and apply his ideas to the well-researched and widely known example of light quanta passing through a double-slit diaphragm and detected by photographic means after their passage through the double-slit obstacle. By considering this specific example, we attempt to clarify Wheeler´s notions of “binary information gain”, “observer participance”, “continuum idealizations of physical laws”. Finally, we touch on Wheeler´s concepts of “existence” and “reality”.

2. The Double-Slit Experiment as a Question Posed to Nature

In this section, we follow Wheeler´s observational approach to physics and consider the DSE as an experimentally posed question to nature and ask ourselves how this question is being answered by nature itself. In order to proceed, we abandon here the interpretational pre-conceptions of “particle impacts” and “diffraction patterns” of the primary observables produced by the DSE and re-define them as informational entities.
Turning to the seeming “particle impacts” on the photographs in the bottom row of Figure 1b and concentrating on the first picture on the left-hand side, only one single white spot in a black background can be observed. As this observation can neither be unequivocally attributed to a “particle impact”, nor to a “diffraction pattern”, the only unbiassed interpretation, possible at this stage, is that “an event had happened at the spacetime location r ,   t at which a photon had interacted with the photographic detection screen”. At this point, it is relevant to note that the observation of such an event is meaningless in the sense that its observation does not yield any information, other than that, that a simple yes/no alternative of the form
y e s n o = e v e n t   h a s   h a p p e n e d   a t   r ,   t e v e n t   h a s   n o t   h a p p e n e d   a t   r ,   t  
had been decided. As deciding a simple alternative, as for instance by tossing a coin, yields the minimum possible amount of information [20,21,22,23], the observation of a single bright spot may rightly be called an “elementary observation”, an “EO”, or simply a “quantum of observation” [24,25]. Referring back to Figure 1b, it is evident that the EOs are observables of a macroscopic size which can be observed either visually or at least with the help of an optical microscope, which implies that these EOs occupy areas of sizes A E O π 4 d E O 2 , where the effective diameter d E O is larger than the Abbe ‘diffraction limit [26] of
d E O   λ N a i r   s i n ( θ )
In this latter equation, λ is the wavelength of visible light, N a i r   ~   1 the refractive index of air, and θ the half angle subtended by the optical objective lens.
Processing in a sequential manner N p h   photons through the DSE, N p h   EOs will emerge in small areas of size A E O , centered around positions x i , y j on the photographic detection screen of size A s c r e e n . In this way, huge response matrices E O will emerge with N E O = A s c r e e n / A E O elements, where each element E O i , j counts the numbers of EOs that had appeared in the vicinity of x i , y j , and E O i , j = 0 otherwise. Normalizing the matrix elements with regard to the largest element inside the matrix, a second matrix, P E O , will emerge which enumerates the probability P E O i , j that an EO will emerge at a position x i , y j when a single photon is processed through the DSE. Further, by increasing N p h , the matrix P E O asymptotically turns towards a continuous function P E O x , y which represents a probability density which measures the probability that an EO is likely to occur at a position x , y when a single photon is processed through the DSE.

3. Elementary Observations and “Observer Participance”

In the double-slit experiment of Figure 1b, the processed photons had been detected by photographic means with the aim of producing quasi-permanent, macroscopically observable EOs. As the photo-chemical processes involved in this technique are relatively complex, we return here to our previous work on photo-ionization detectors (PID) [27]. The reason for making this choice is that, firstly, the physics of PIDs can be easily overseen, and that, secondly, PIDs are able to perform as ideal photon detectors as explained in the textbook of Kingston [28]. PIDs, therefore, form ideal conceptual devices, which reveal how unobservable photon-detector interactions, occurring on the length scale of quantum phenomena, can be turned into macroscopically observable EOs [24,25]. Key motivation for considering such devices is elucidating Wheeler´s statement number 4, namely that
“No element in the description of physics shows itself closer to primordial than the elementary quantum phenomenon, i.e. the elementary device-intermediated act of posing a yes-no physical question and eliciting an answer or, in brief, the elementary act of observer participance.”
The principle architecture of a PID is shown in Figure 2 in the form of a semiconductor-like band diagram, featuring two metal or semiconductor electrodes positioned face-to-face to each other in the form of a parallel-plate capacitor, with both electrodes having an electron work function of q ϕ m E p h which is smaller than the energy E p h of the photons to be detected. The four subfigures in Figure 2 show how a photon, entering from the left, generates a photoelectron that is able to move from photocathode to photoanode through an electrode gap of width L , thus generating a displacement current I s ( t ) which is macroscopically observable outside the device and which indicates that a photon had arrived at the spacetime location r ,   t of the PID and interacted there, within a volume of size Δ V = L 3 and within a time duration of length Δ t = τ t , where
τ t = L c 2 m e c 2 q V b .
In this latter equation, L is the electrode gap width, c , the speed of light, m e c 2 , the electron rest mass, q the electronic charge, and V b the bias voltage applied across the electrode gap.
As already shown in our previous work [24,25], EOs are pieces of physical action, generated at the expense of generating entropy, and representing simple yes-no answers indicating whether a photon had interacted with the PID or not. In particular, we have shown that the EOs, generated by a PID, can be characterized by two dimensionless figures of merit (FOM) with the first FOM signifying the observational value of the generated EO
O V E O = 1 3 q V b τ t h ,
and the second, the statistical significance of the EO, which measures the level of certainty that the EO had not been generated by a random thermal fluctuation inside the PID:
S I E O = 1 1 / S N ( L , V b , T ) .
Turning to Equation 4, this FOM measures the macroscopic observability of the EO in terms of the physical action, W E O = 1 3 q V b τ t , that had been generated during the flow of the displacement current I s ( t ) , and as evaluated relative to the change in physical action h that had taken place during the initiating photon-detector interaction. The second FOM, in turn, attains its maximum value of 1 , in case the EO had been detected under high signal-to-noise-level conditions, i.e. S N L , V b , T 1 .
With a detected EO fulfilling O V E O 1 , and S I E O ( L , V b , T ) 1 , the EO qualifies as a truly valid “yes-no indication” concerning the question whether a photon had been interacting with the device or not.
The above-defined observables of EOs and matrices PEO are the principle forms of existence against which the mental constructs of “point-like particles”, “continuously undulating electromagnetic wave fields”, or “photons” can be checked and whereby decisions can be taken whether these mental images do in fact mirror those pieces of reality that exist in a material world independent of any human existence.
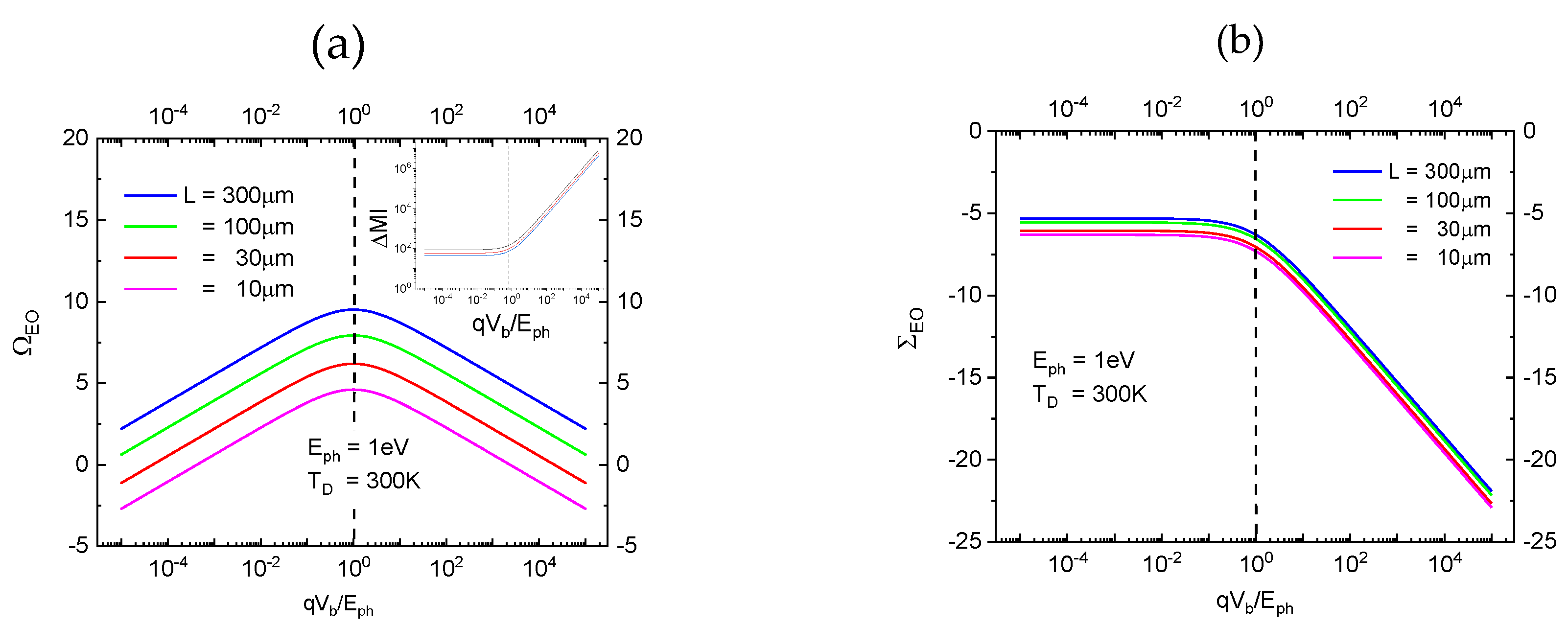
Figure 3a,b, in turn, plot the FOMs O V E O and S I E O , as normalized to the entropy that had been created inside the photoanode, as functions of the kinetic energy E k i n = q V b that had been imparted to the photoelectron on its journey from photocathode to photoanode. Figure 3a,b show that both FOMs take on optimum values at minimum entropic cost, in case both photon and detector share evenly in the energy expense of producing a macroscopically observable EO. This latter result clearly expresses the necessity of “observer participance” in generating macroscopically accessible “yes-no-indications”.
Turning back to Figure 2, it is seen that a photon, which had initiated the formation of an EO in step (a), gets annihilated in step (c). In this step of annihilation, the energy E p h   of the photon is broken down into pieces of size k B T D , i.e. the size of the mean thermal energy inside the detector. What is also evident from Figure 2c is that together with the photon energy E p h itself also the kinetic energy E k i n = q V b = E p h , that the photoelectron had gained upon traversing the electrode gap, is also dissipated in step (c). Altogether, each bit of potential information [23] of size
I p o t E p h ,   T D = 1 l n ( 2 ) E p h k B T D ( bits ) ,
that the photon had carried prior to its detection, is thereby annihilated at the cost of dissipating an energy of size
E L a 2   l n ( 2 )   k B T D
units of energy per bit of initially carried potential information. As argued above, the factor of 2 in Equation 7 originates from the fact that in addition to the photon energy E p h itself, the same amount of energy had to be invested in step b as well to make the unobservable photon-detector interaction in step a to become macroscopically observable. This additional energy demand is a clear sign of “observer participance” in eliciting “yes-no indications”. Further considering that Equation 7 represents the Landauer minimum energy cost for erasing a single bit of information [29,30,31,32,33], it is revealed that Wheeler´s statement of “observer participance” is simply another version of Landauer´s earlier statement of a minimum energy cost for annihilating bits of existing information [29,30,31].

4. Spatial Patterns of EOs and “Observer Participance”

The DSE had been designed to reveal whether a single photon propagates through a DSE in the form of a continuously undulating electromagnetic wave or as a corpuscular particle following a classical trajectory. As revealed from Figure 1b, experimental answers concerning the propagational behavior of a single photon do not emerge upon passage of a single photon but rather gradually evolve as increasing numbers of additional photons are sequentially processed through the DSE. In the limit of very large numbers of photons the form of the generated patterns of EOs ultimately take the form of “granular diffraction patterns (GDP)”. Recalling that the generation of each individual EO requires an observational energy expense of E o b s _ E O E p h , it is clear that the generation of a GDP is associated with an energetic burden of
E o b s _ G D P ( N t r i a l ) N t r i a l E o b s _ E O ,
where N t r i a l counts the number of times a photon had been passed through the DSE. This latter burden is obviously orders of magnitude larger than the energy carried by a single photon, whose propagational behavior had initially been at the center of interest in in processing photons through a DSE.
Returning to the series of photographs at the bottom of Figure 1b, these photographs suggest that in the limit N t r i a l , the white dots, which represent the individual EOs, will merge and ultimately produce the image of a continuously varying probability density function P E O x , y , already introduced in section 2. As passing an infinite number of photons through the DSE and generating an equally large number of EOs requires an infinite amount of observational energy, which is practically impossible to supply, Wheeler´s first and third statements follow, namely the “impossibility of continuum idealizations of physical laws”. From the explanations above, it follows that this impossibility is an extreme form of “observer-participance” as the energetic cost of generating a GDP hugely overwhelms the cost of creating each individual EO inside this GDP.
In approaching the continuum limit of experimental answers, a second, DSE-specific problem arises through the merging of the white spots on the photographic detection screens shown in the bottom of Figure 1b. Through this merger, the illusion arises that photons propagating through a DSE perform this task in the form of classical electromagnetic waves – a result which seriously disagrees with the standard interpretation of the DSE which considers it as a key proof of the wave-particle duality of photons. This latter results also clashes with Wheeler´s statement number 4 concerning the “primordial nature of binary yes-no indications”. Overall, this DSE-specific problem demonstrates that approaching the continuum level of physical answers may not always be the method of choice of providing physical evidence as important information might get lost in the process of eliminating granularity.
With these remarks we leave the issues of “observer participance” and the “impossibility of continuum idealizations of physical laws” and touch on Wheeler´s other notions of “existence” and “reality”.

5. The Incompatible Existences of Waves and Particles

Section 2 has revealed that the elementary step in the process of experimental information gain is the generation of EOs, i.e. binary pieces of information, which in the long run evolve into response matrices P E O which represent the final experimental answers. This process of accumulating binary pieces of information into complete messages bears some resemblance to the technical process of communicating meaningful texts and images from an information source to an information sink in the form of meaningless binary digits [34,35]. Such a comparison is made in graphical form in Figure 4. As illustrated in Figure 4a, such a technical form of transmission requires a step of encoding at the source end, where human-understandable texts and images are encoded into bit streams, and a step of decoding at the receiver end, where the bit streams are re-converted into human-understandable form again.
Figure 4b, on the other hand, illustrates the process of information gain concerning the propagation of photons through a DSE. While the physical question is posed in verbal form in step 1, the answer is elicited, also in verbal form, in step 5. Looking back on the very long struggle between wave- and particle supporters of a theory of light, the initial question is asked in an either-or form, requiring a decision between the wave- and particle options of photon propagation to be taken in step 4 and to be verbally announced in step 5. Working from the initial step 1 to the final step 5, a translational step is required in step 2, in which the initial question is “translated” into the physical language of EOs to allow a macroscopically observable experimental answer to evolve in step 3. This task is effectively performed by the DSE shown in Figure 1b. As the construction of the DSE combines obstacles that are overcome with different ease in case a photon will choose the wave- or the particle option of moving through the DSE, distinctly different response matrices P E O will emerge at the end of step 3. As illustrated in Figure 1b, the patterns of EOs produced at this point, take the form of GDPs, i.e. a form that can neither be attributed to photons moving through the DSE in the form of continuously undulating electromagnetic waves, nor in the form of corpuscles continually following classical particle trajectories. As a consequence, the decision demanded in step 1 cannot be taken in step 4, and the expected result not be announced in verbal form in step 5. With the final message that photons in reality are neither waves nor particles, but maybe something as yet undefined in between, the narrative of the wave-particle duality of photons [12,13] had emerged. .
Looking at this situation from Wheler´s perspective, the failure of arriving at the requested binary decision between the wave- and particle pictures of photon propagation means that none of the alternatives addressed in step 1 can be endowed with the label of “existence”, which implies that neither photons moving along in the form of continuously undulating electromagnetic waves nor in the form of corpuscles continually following classical particle trajectories can be accepted as mental images of photons that do exist in reality in the outside material world. Overall, it appears that the process of information gain, depicted in Figure 4b, has resulted in a clear failure as the basic ontological question concerning the true nature of photons has been left unanswered at this stage.

6. An Alternative form of Wave-Particle Duality

Drawing on the widely shared wisdom that “good questions produce good answers”, a re-iteration of the process in Figure 4b is suggested. Carefully avoiding either-or alternatives, as in step 1 above, an initial question to start with in the re-iteration process could be:
“Is it possible to devise a model of photon propagation through a DSE that incorporates in a single process elements of classical electrodynamic wave theory and of quantum mechanics, and that successfully reproduces the patterns of EOs produced at the end of step 3 ?”.
In case such a model could be devised, there would be a clear match with the observations reported in Figure 1b, which allows a label of “existence” to be assigned to the GDPs displayed there. With this assignment in place, the mental construct of photons propagating in this innovative way could then be raised to valid mental images of photons travelling in reality in the outside material world.
In order to arrive at such a modified form of photon propagation, we turn to the process of classical electromagnetic wave propagation. According to Maxwell´s equations [36,37], electromagnetic waves are propagated in a source-free environment, by a continuous interaction of local time-dependent electric ( E ) and magnetic fields ( B ) as described by the two rotational equations, which in the SI system of units read:
r o t E = B t ,         and     r o t B = 1 c 2 E t .
The solution of both coupled differential equations yields electrical and magnetic fields with amplitudes sinusoidally varying in x - and y -directions and with phases propagating into z -direction:
E x ( z , t ) = E x 0 s i n 2 π ( z λ t τ ) ,     and     B y ( z , t ) = E x 0 c s i n 2 π ( z λ t τ ) .
In these latter equations λ stands for the wavelength and ν = 1 / τ for the frequency of each travelling wave. E x 0 and B x 0 = E x 0 / c , in turn, stand for the individual wave amplitudes. Both kinds of fields are shown in Figure 5a as wave trains travelling into positive z-direction with the speed of light c . This figure shows that during each half wave period a wave crest first builds up to a maximum field amplitude and then fades away again, after which a new wave crest is formed with the signs of both field quantities being reversed.
The transport of electromagnetic field energy through space is described by Poynting´s theorem [36,37], which yields for the electromagnetic energy density u z , t :
u z , t = 1 2 ε 0 E 2 + 1 μ 0 B 2 = ε 0 E x 0 2 s i n 2 π ( z λ ν t ) 2 = p r a d ( z , t ) .
This variation is plotted in Figure 5b. As u z , t varies quadratically with the electrical and magnetic field strengths, positive pulses of electromagnetic energy are repeatedly, but discontinuously being shifted along the positive z -axis with a finite step length of Δ z = λ / 2 . Further considering that the dimension of u z , t of N m / m 3 = N / m 2 = P a matches the dimension of pressure, Equation 11 also describes the variation of the radiation pressure p r a d ( z , t ) that is produced by a travelling electromagnetic plane wave.
Moving from the classical picture of wave propagation towards a more quantum mechanical picture, we first note that N p h photons with energy E p h = h ν , trapped inside a volume V with ideally reflecting internal walls, behave like an ideal gas [38,39]:
p r a d V = 1 3 N p h h ν .
Any given volume V , filled with N p h photons, therefore will feel a pressure on its walls that directly scales with the numbers of photons trapped inside: i.e. p r a d ~ N p h . Returning to Figure 5b, a new kind of wave-particle duality can then be envisaged: in this new picture, an electromagnetic wave starting out at z = 0 and at t = 0 with vanishingly small constituent field strengths will start out in the form of a space-demanding electromagnetic wave that propagates forward into z -direction. As this wave propagates it will generate an increasing radiation pressure onto those pieces of field energy that had originated from wave trains starting out at z = 0 but at times t < 0 . As these preceding pieces of electromagnetic field energy are already travelling at the maximum speed of light, the acting radiation pressure cannot enforce an acceleration onto the preceding electromagnetic wave packages towards higher speeds. The only escape from this increasing pressure dilemma is to transform increasing numbers of space-demanding classical electromagnetic waves into much more compact and heavily localized light corpuscles, i.e. photons. Figure 5b shows that upon reaching the position z = λ / 4 , a maximum number of light waves had been converted into corpuscular photons. As at z > λ / 4 , the radiation pressure drops again, more and more photons start to re-convert into space-demanding electromagnetic waves until at z = λ / 2 the radiation pressure had dropped to zero, and the number of photons to N p h = 0 . Thereafter, the interconversion of waves into corpuscles and vice versa starts again with the signs of the constituent field quantities being inverted until the condition of N p h = 0 is recovered at a distance of Δ z = λ from the origin. As long as no absorption event takes place upon further propagation along the z - axis, this process can repeat ad infinitum, resulting in a periodically repeated mixed wave-like and particle-like motion of light.
Diminishing the electric and magnetic field amplitudes E x 0 and B x 0 , the wave crests of u z , t take on increasingly smaller sizes until, eventually, each integral of u z , t over a half-wave period of length z = λ / 2 arrives at its lower limit of E p h = h ν [8], where each wave packet only contains one single photon. At this level, a transition from a classical electromagnetic wave propagation towards a direct transport of corpuscular photons along the z -axis takes place. Dissimilar to the motion of macroscopic particles, the corpuscular photons do no longer follow the z - axis in an infinite number of infinitely small steps, but rather in a finite number of discontinuous generation and annihilation steps with a finite step length of Δ z = λ / 2 .
Moving forward from freely propagating plane-wave fields (Figure 6a) to situations in which obstacles such as double-slit diaphragms are inserted into the flow of plane-wave fronts (Figure 6b), planar wavefronts become disturbed by these obstacles through the classical process of wave diffraction. As illustrated in Figure 6b, the initially planar wave fronts thereby become split up into a number of diffracted wave fronts. In this event, streams of diffracted waves start to radiate out into different directions after the obstacle had been passed, giving rise to continuously distributed diffraction patterns. As in the proposed new scheme of photon propagation the co-generated “corpuscular photons” will consistently follow the directions of the classical wave trains towards the downstream photographic detection screen, the wave-guided photons will produce apparent “particle impacts” on the photographic screen with a spatial distribution corresponding to a “classical diffraction pattern”. In this way the observed kinds of GDPs, shown in Figure 1b, will arise. Unlike in the classical interpretation of the DSE, cited in the introduction, there is no longer a dilemma of a conversion between incompatible forms of existence of light, as the interconversion of light waves into photons and vice-versa has now become a periodic process deeply interwoven with the process of classical wave propagation. At this point, we note that the proposed new process of light propagation is consistent with Youngs classical interference experiments [5], on the one hand, and with Planck´s [8] and Einstein´s [9] quantum interpretations of light propagation, on the other hand.
Returning to the process of experimental information gain sketched in Figure 5b, the avoidance of an either-or question at the beginning and the assumption of a wave-particle duality, deeply interwoven into the normal process of electromagnetic wave propagation, removes the dilemma of photons of changing between two incompatible forms of existence on their way through a DSE. Needless to say at this point is that this proposition will require significant downstream scientific scrutiny to become finally accepted.

7. Summary and Conclusions

In this paper we have been following J.A. Wheeler´s observational approach to physics [1] and regarded the double-slit experiment with photons (DSE) [11] as a question posed to nature. Progressing along Wheeler´s line of thoughts, we have abandoned the interpretative preconceptions of the experimental outputs of a DSE as being “particle impacts” and “diffraction patterns” and re-interpreted them as informational entities residing at the primary level of physical existence.
Discussing these primary forms of physical existence, we could clarify and elucidate Wheeler´s notions regarding “observer participance” in eliciting “binary yes-no indications” and the “impossibility of continuum idealizations of physical laws”. In particular, we could elucidate the following items:
-
“Eliciting yes-no indications” is enabled by turning photon-detector interactions at the quantum level into macroscopically observable EOs,
-
The “observer participance” in “eliciting “yes-no” indications” arises out of the necessity of supplying extra energy on the observer side to turn unobservable, quantum-mechanical photon-detector interactions into macroscopically observable EOs,
-
The “impossibility of continuum idealizations of physical laws” arises out of the excessive observational energy demand in eliciting infinite numbers of EOs.
Whittaker’s notion of “observer participance” complies with “Landauer´s earlier statement of a finite energy demand of E L A 2 k B T D l n ( 2 ) for erasing a single bit of information [29,30,31,32,33].
Key enabling step in elucidating these items was analyzing the act of photon detection with the help of photo-ionization detectors (PID) [25,26,27,28]. Because of their easily overseeable physics and their ability to act as ideal photon detectors, PIDs appeared as useful conceptual devices to analyze the informational characteristics of photon-detector interactions.
Still following Wheeler´s observational line of thought [1], we touched in the final section on the physical concepts of “existence” and “reality”. There, we proposed an alternative interpretation of the DSE which is based on a new kind of discontinuous light propagation, in which light repeatedly and discontinuously alternates between “wave-like” and “particle like” motion with a finite step-length equivalent to half a photon wavelength.

Funding

This research did not receive institutional or public funding.

Institutional Review Board Statement

Not applicable.

Data Availability Statement

All relevant data are contained in the published text.

Acknowledgments

The author thanks Professor Bormashenko for useful comments during the text preparation.

Conflicts of Interest

The author does declare “no conflicts of interest.

Appendix A. Do Photons Travel Along Straight Lines ?

After Planck [8] and Einstein [9] had proposed their photon hypothesis, the idea became popular that photons propagate through empty space along simple straight lines, similar to corpuscular particles moving through force-free environments. In this appendix we consider the example of a freely propagating photon and show how a discrete set of observations converges to the continuum limit of a simple straight line.
Figure A1 sketches a thought experiment that could be used to test the proposition made in the headline. As shown there, a plane electromagnetic wave is launched from a photon source on the left and allowed to propagate towards a photon absorber on the right. As discussed in section 6, the photon source in Figure A1 can in principle be turned into a single-photon source by appropriately reducing the electric and magnetic field strengths E x 0 and B x 0 . In order to trace out the trajectories of photons emitted there, ten detectors are positioned along the imagined photon trajectory, with each detector being placed at equidistant positions Δ z λ from its neighbor, and with z i = i Δ z standing for the individual detector positions and λ for the photon wavelength. Providing each detector with a quantum efficiency of η = 0.1 , any photon emitted from the source will have been absorbed inside the array upon arriving at the downstream absorber. In order to allow following the photon trajectory, each detector inside this 10-detector array needs to be constructed in a way that a photon is able to travel freely through all detectors, with a chance of interacting with any of those detectors on its way to the absorber to produce an EO there. If absorbed at position i , the detector will produce a ONE as an output or a ZERO at vector position i in case no detection had occurred there. As each photon can only be absorbed once, the passage of a single photon through this array will produce a 10-element row vector with a ONE at a random position and ZEROs on all other positions, as shown in Figure A1.
Figure A1. A photon source, producing plane-wave fronts carrying photons, moving on parallel paths, from source to sink. Along the chosen line, a 10-detector array is positioned at regular positions with identical distances between detectors to allow photons to be detected as they move from source to sink. In the example above, a single photon travelling through the array is randomly absorbed at the eighth detector downstream to the source, thereby producing as an output signal a 10-element response vector with ZEROs at all positions, except for position 8.
Figure A1. A photon source, producing plane-wave fronts carrying photons, moving on parallel paths, from source to sink. Along the chosen line, a 10-detector array is positioned at regular positions with identical distances between detectors to allow photons to be detected as they move from source to sink. In the example above, a single photon travelling through the array is randomly absorbed at the eighth detector downstream to the source, thereby producing as an output signal a 10-element response vector with ZEROs at all positions, except for position 8.
Preprints 167750 g0a1
Starting with the experiment, we first send three photons sequentially through the array. In this way, three 10-element row vectors are produced with ONES at random positions:
R e s p 1 = 1   0   0   0   0   0   0   0   0   0 R e s p 2 = 0   0   0   0   0   0   0   0   1   0 R e s p 3 = 0   0   0   0   0   0   1   0   0   0
Vector addition of all three responses produces a new 10-element row vector, resulting in an average number of response indications per sensor position of E O a v 3 :
E O 3 = 1   0   0   0   0   0   1   0   1   0 ; E O a v 3 = 0.3
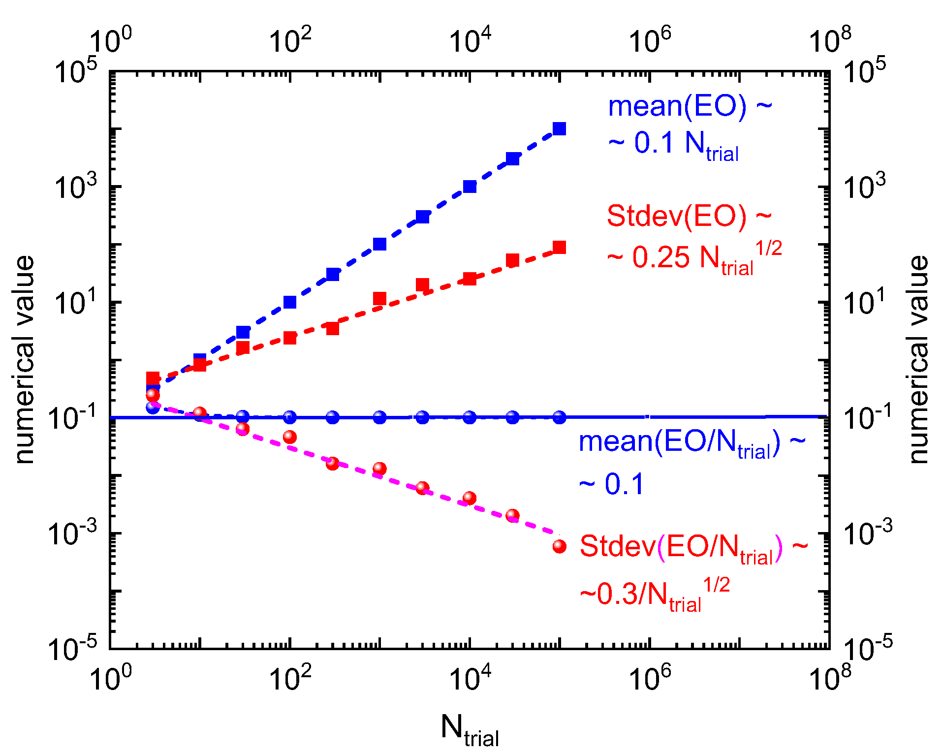
Repeating this process of passing photons and accumulating outputs, random vectors with increasingly larger natural numbers on all positions result and with relatively smaller statistical scatter between individual positions as the number of trials N t r i a l is increased:
E O 10 = 0   1   0   1   2   0   1   2   2   2 ;   E O a v 10 = 1.1 E O 10 2 = 7   17   6   4   12   15   9   11   14   6 ;     E O a v 10 2 = 10.2 E O 10 3 = 109   119   83   98   105   92   85   95   101   114 ;   E O a v ( 10 3 ) = 110.1
Normalizing the row vectors E O with regard to the number of photons N t r i a l that had been passed through the array, it is easily seen that the numbers E O a v ( N t r i a l ) converge to the quantum efficiency of each detector of β = 0.1 . Concomitantly, the relative scatter between vector positions decreases proportional to N t r i a l 1 / 2 . These dependencies as functions of N t r i a l are pictorially presented in Figure A2.
Figure A2. (a) top curves: Numbers of accumulated EOs and their standard deviation with increasing numbers of photon passages N t r i a l through the array; (b) same quantities as above but normalized to the numbers of photon passages N t r i a l through the array.
Figure A2. (a) top curves: Numbers of accumulated EOs and their standard deviation with increasing numbers of photon passages N t r i a l through the array; (b) same quantities as above but normalized to the numbers of photon passages N t r i a l through the array.
Preprints 167750 g0a2
Recalling that an ideal approximation to a straight line is obtained when all entries for the individual detector positions are exactly the same, Figure A2 shows that this situation is attained in the case N t r i a l . Further recalling that for generating each individual EO an observer-related energy cost of E p h is involved, the observational energy response raises towards infinity, i.e. a result that underlines Wheler’s statement of the “impossibility of continuum idealizations of physical laws”.

References

  1. Wheeler, J.A. Information, physics, quantum: the search for links. Proceedings III International Symposium on Foundations of Quantum Mechanics; 1989; pp. 354–358. [Google Scholar]
  2. Newton, I. Opticks: or, a treatise of the reflexions, refractions, inflexions and colours of light. Also two treatises of the species and magnitude of curvilinear figures; Octavo: Palo Alto, California, 1998; ISBN 1-891788-04-3. (commented by Nicholas Humez). [Google Scholar]
  3. Sabra, A.I. Theories of Light, from Descartes to Newton, CUP Archive 1981, p.186. ISBN 978-0-521-28436-3.
  4. Shapiro, A.E. Huygen´s “Traité de la Lumière' and Newton's 'Opticks': Pursuing and Eschewing Hypotheses”. Notes and Records of the Royal Society of London 1989, 43, 223–247. [Google Scholar] [CrossRef]
  5. Young, Th. A Course of Lectures on Natural Philosophy and the Mechanical Arts; Joseph Johnson: London, 1807; ISBN 9780384704060. [Google Scholar]
  6. Fresnel, A. J. OEuvres Completes”. Imprimerie impériale, Paris, France, 1868, 1, p. 369.
  7. Arago spot – Wikipedia; en.m.wikipedia.org/wiki/Arago spot (last accessed 25 May 2025).
  8. Planck, M. On the Law of Distribution of Energy in the Normal Spectrum. Ann. Phys. 1901, 4, 553. [Google Scholar] [CrossRef]
  9. Einstein, A. Über einen die Erzeugung und Verwandlung des Lichtes betreffenden heuristischen Gesichtspunkt. Ann. Phys. 1905, 17, 132. [Google Scholar] [CrossRef]
  10. Compton, A.H. A Quantum Theory of the Scattering of X-Rays by Light Elements. Phys. Rev. 1923, 21, 483–502. [Google Scholar] [CrossRef]
  11. Meschede, D. Youngs Interferenzexperiment mit Licht. In Die Top Ten der Schönsten Physikalischen Experimente Fäßler; Fäßler, A., Jönsson, C., Eds.; Rowohlt Verlag: Hamburg, Germany, 2005; pp. 94–105. ISBN 3-499-61628-9. [Google Scholar]
  12. Feynman, R. P. Lectures on Physics - Quantum Mechanics; Addison-Wesley: Reading, Massachusetts, Palo Alto, London, Toronto, New York, 1965; chapters 1-3. [Google Scholar]
  13. Landau, L.D.; Lifshitz, E.M. Quantum Mechanics: Non-Relativistic Theory, 3rd ed.; Pergamon Press: Oxford, UK, 1977; Volume 3, pp. 46–49. [Google Scholar]
  14. Piccinini, G.; Maley, C. Computation in physical systems. In The Stanford Encyclopedia of Philosophy; Zalta, E.N., Ed.; Metaphysics Research Lab, Stanford University: Stanford, CA, USA, 2010; Available online: https://plato.stanford.edu/archives/sum2021/entries/computation-physicalsystems (accessed on 16 April 2025).
  15. Lloyd, S. The Universe as Quantum Computer, A Computable Universe: Understanding and Exploring Nature as Computation; World Scientific: Singapore, 2013. [Google Scholar]
  16. Miller, J.F.; Harding, S.L.; Tufte, G. Evolution-in-materio: Evolving computation in materials. Evol. Intel. 2014, 7, 49–67. [Google Scholar] [CrossRef]
  17. Markov, I. Limits on fundamental limits to computation. Nature 2014, 512, 147–154. [Google Scholar] [CrossRef] [PubMed]
  18. It From Bit or Bit From It?: On Physics and Information; Aguirre, A., Forster, B., Merali, Z., Eds.; Springer Verlag: Berlin, Heidelberg, New York, 2015; Frontiers Collection. [Google Scholar]
  19. (last accessed 25 May 2025). 25 May. Available online: https://www.nzz.ch/wissenschaft/quantentheorie-it-from-bit-ld.1442850 (accessed on 25 May 2025).
  20. Shannon, C.E. A Mathematical Theory of Communication. Bell Syst. Tech. J. 1948, 27, 379–423. [Google Scholar] [CrossRef]
  21. Ben-Naim, A.; Dufour, C. Information Theory – Part 1: An introduction to the fundamental concepts; World Scientific, 2017; ISBN 10: 981320883X; ISBN 13: 9789813208834. [Google Scholar]
  22. Ben-Naim, A. A Farewell to Entropy: Statistical Thermodynamics Based on Information; World Scientific: Singapore, 2008. [Google Scholar]
  23. Müller, J.G. Information contained in molecular motion. Entropy 2019, 21, 1052. [Google Scholar] [CrossRef]
  24. Müller, J.G. Events as elements of physical observation: Experimental evidence. Entropy 2024, 26, 255. [Google Scholar] [CrossRef] [PubMed]
  25. Müller, J.G. Elementary Observations: Building Blocks of Physical Information Gain. Entropy 2024, 26, 619. [Google Scholar] [CrossRef] [PubMed]
  26. Bormashenko, E. Landauer Bound in the Context of Minimal Physical Principles. Entropy 2024, 26, 423. [Google Scholar] [CrossRef] [PubMed]
  27. Müller, J.G. Photon detection as a process of information gain. Entropy 2020, 22, 392. [Google Scholar] [CrossRef] [PubMed]
  28. Kingston, R.H. Detection of Optical and Infrared Radiation; Springer: Berlin/Heidelberg, Germany, 1978. [Google Scholar]
  29. Landauer, R. Irreversibility and heat generation in the computing process. IBM J. Res. 1961, 5, 183–191. [Google Scholar] [CrossRef]
  30. Landauer, R. Information is physical. Phys. Today 1991, 44, 23–29. [Google Scholar] [CrossRef]
  31. Landauer, R. Minimal energy requirements in communication. Science 1996, 272, 1914–1918. [Google Scholar] [CrossRef] [PubMed]
  32. Bormashenko, E. The Landauer Principle: Re-Formulation of the Second Thermodynamics Law or a Step to Great Unification? Entropy 2019, 21, 918. [Google Scholar] [CrossRef]
  33. Witkowski, C.; Brown, S.; Truong, K. On the Precise Link between Energy and Information. Entropy 2024, 26, 203. [Google Scholar] [CrossRef] [PubMed]
  34. Young, J. F. Einführung in die Informationstheorie, R. Oldenbourg München, Wien, 1975. [CrossRef]
  35. Kraus, G. Einführung in die Datenübertragung. R. Oldenbourg Verlag: München, Germany; Wien, Austria, 1978. ISBN-10 ‏ : 3486214411, ISBN-13 ‏ : 978-3486214413.
  36. Nolting, W. Grundkurs-Theoretische Physik 2 (Elektrodynamik); Springer: Berlin. Heidelberg, New York, 2013; ISBN 978-3-540-71251-0. [Google Scholar]
  37. Jackson, J.D. Classical Electrodynamics; John Wiley & Sons: New York, 1975; ISBN 0-471-43132-X. [Google Scholar]
  38. Author 1, A.; Author 2, B. Book Title, 3rd ed.; Publisher: Publisher Location, Country, 2008; pp. 154–196. [Google Scholar]
  39. Kittel, Ch.; Physik der Wärme, R. Oldenbourg, München, Wien, John Wiley&Sons, Frankfurt, 1973, ISBN 3-486-33821-8.
  40. Radiation pressure – Wikipedia.
Figure 1. (a): An X-ray photon of wavelength λ comes in from the left, collides with an electron at rest, and a new photon of wavelength λ′ emerges at an angle θ. The electron recoils, carrying away an angle-dependent amount of the incident photon momentum [10]. (b): (top row) Sketch of a double-slit experiment with photons (DSE), conducted for increasingly longer periods of time. Photon impacts on the detector screen feature as black dots which turn into increasingly denser patterns of black dots as time proceeds. After development of the photographic plates, the individual “photon impacts” appear as small, permanently whitened spots, approximating “diffraction patterns” in the long run [11].
Figure 1. (a): An X-ray photon of wavelength λ comes in from the left, collides with an electron at rest, and a new photon of wavelength λ′ emerges at an angle θ. The electron recoils, carrying away an angle-dependent amount of the incident photon momentum [10]. (b): (top row) Sketch of a double-slit experiment with photons (DSE), conducted for increasingly longer periods of time. Photon impacts on the detector screen feature as black dots which turn into increasingly denser patterns of black dots as time proceeds. After development of the photographic plates, the individual “photon impacts” appear as small, permanently whitened spots, approximating “diffraction patterns” in the long run [11].
Preprints 167750 g001
Figure 2. Architecture of a photo-ionization detector (PID) as shown in the form of a semiconductor-like band diagram. The four sub-figures indicate how a photoelectron, liberated from the photocathode on the left (Figure 2a) moves through the device, thereby creating a triangular current pulse I s ( t ) (Figure 2b). Figure 2c shows that upon termination of the current pulse, the energy E p h carried by the incoming photon and the kinetic energy E k i n = q V b = E p h , gained by the liberated photoelectron on its journey towards the photoanode, are both dissipated inside the photoanode and converted there into low-temperature heat. Figure 2d, finally, shows that the thermalized photoelectron needs to be lifted back to the Fermi energy of the photocathode E F , a to enable a new round of photon detection.
Figure 2. Architecture of a photo-ionization detector (PID) as shown in the form of a semiconductor-like band diagram. The four sub-figures indicate how a photoelectron, liberated from the photocathode on the left (Figure 2a) moves through the device, thereby creating a triangular current pulse I s ( t ) (Figure 2b). Figure 2c shows that upon termination of the current pulse, the energy E p h carried by the incoming photon and the kinetic energy E k i n = q V b = E p h , gained by the liberated photoelectron on its journey towards the photoanode, are both dissipated inside the photoanode and converted there into low-temperature heat. Figure 2d, finally, shows that the thermalized photoelectron needs to be lifted back to the Fermi energy of the photocathode E F , a to enable a new round of photon detection.
Preprints 167750 g002
Figure 3. (a) Observability Ω E O as a function of the normalized bias potential q V b / E p h with the device size L as a parameter. The different curves in the inset show the impact of temperate on the entropy production; (b) Statistical significance Σ E O as a function of the normalized bias potential q V b / E p h and as evaluated for different device sizes L . For clarity of presentation the curves in Figure 3b had been slightly offset from each other.
Figure 3. (a) Observability Ω E O as a function of the normalized bias potential q V b / E p h with the device size L as a parameter. The different curves in the inset show the impact of temperate on the entropy production; (b) Statistical significance Σ E O as a function of the normalized bias potential q V b / E p h and as evaluated for different device sizes L . For clarity of presentation the curves in Figure 3b had been slightly offset from each other.
Preprints 167750 g003
Figure 4. (a) Comparison of a technical communication process; and (b) an experimentally posed question to nature concerning the propagation of photons through a DSE and eliciting an answer to the initially posed question.
Figure 4. (a) Comparison of a technical communication process; and (b) an experimentally posed question to nature concerning the propagation of photons through a DSE and eliciting an answer to the initially posed question.
Preprints 167750 g004
Figure 5. (a) Spatial dependence of electric ( E ) and magnetic ( B ) field strengths at a fixed moment in time. Both interacting fields form plane electromagnetic waves travelling into positive z -direction with the speed of light c , (b) variation of the electromagnetic energy density u ( z , t ) as a function of the propagational coordinate z , and as measured in units of the light wavelength λ . Symbols denote periodically changing wave-like Preprints 167750 i001 and particle-like Preprints 167750 i002 modes of light propagation.
Figure 5. (a) Spatial dependence of electric ( E ) and magnetic ( B ) field strengths at a fixed moment in time. Both interacting fields form plane electromagnetic waves travelling into positive z -direction with the speed of light c , (b) variation of the electromagnetic energy density u ( z , t ) as a function of the propagational coordinate z , and as measured in units of the light wavelength λ . Symbols denote periodically changing wave-like Preprints 167750 i001 and particle-like Preprints 167750 i002 modes of light propagation.
Preprints 167750 g005
Figure 6. (a) Coherent light source launching plane electromagnetic waves towards a flat-plate absorber fitted with an array of photon detectors (red circles); (b) same kind of photon source launching plane electromagnetic waves towards an absorber pierced with two transparent slits. The ensuing emission of diffracted wave trains form an arrival pattern of photons on a downstream photographic screen. Colored circles indicate possible detector positions for tracing plane-wave propagation in (a) and non-uniform diffraction pattens of EOs in (b).
Figure 6. (a) Coherent light source launching plane electromagnetic waves towards a flat-plate absorber fitted with an array of photon detectors (red circles); (b) same kind of photon source launching plane electromagnetic waves towards an absorber pierced with two transparent slits. The ensuing emission of diffracted wave trains form an arrival pattern of photons on a downstream photographic screen. Colored circles indicate possible detector positions for tracing plane-wave propagation in (a) and non-uniform diffraction pattens of EOs in (b).
Preprints 167750 g006
Disclaimer/Publisher’s Note: The statements, opinions and data contained in all publications are solely those of the individual author(s) and contributor(s) and not of MDPI and/or the editor(s). MDPI and/or the editor(s) disclaim responsibility for any injury to people or property resulting from any ideas, methods, instructions or products referred to in the content.
Copyright: This open access article is published under a Creative Commons CC BY 4.0 license, which permit the free download, distribution, and reuse, provided that the author and preprint are cited in any reuse.
Prerpints.org logo

Preprints.org is a free preprint server supported by MDPI in Basel, Switzerland.

Subscribe

Disclaimer

Terms of Use

Privacy Policy

Privacy Settings

© 2025 MDPI (Basel, Switzerland) unless otherwise stated