Submitted:
12 June 2025
Posted:
16 June 2025
You are already at the latest version
Abstract
Keywords:
1. Introduction
2. Results
3. Discussion
4. Materials and Methods
4.1. General Procedure for the Dehydroaromatization of 1a–e and 2a–e Effected by DDQ Under the Conditions of Methods A-F
4.2. Procedure for the Reaction of 2c Effected by a Sub-Equimolar Amount of DDQ Under the Conditions of Method G
4.3. Procedure for the Reaction of a 1:1 Mixture of 1c and 2c Effected by a Sub-Equimolar Amount of DDQ Under the Conditions of Method G
4.4. Characterization of the Products
4.4.1. 1,4-bis(methylthio)-5-phenylpyridazino[4,5-d]pyridazine (3a)

4.4.2. 1,4-Bis(methylthio)-5-(naphthalen-1-yl)pyridazino[4,5-d]pyridazine (3b)

4.4.3. 1,4-Bis(methylthio)-5-(naphthalen-2-yl)pyridazino[4,5-d]pyridazine (3c)

4.4.4. 5-(4-Methoxyphenyl)-1,4-bis(methylthio)pyridazino[4,5-d]pyridazine (5d)

4.4.5. 1,4-Bis(methylthio)-5-(thiophen-2-yl)pyridazino[4,5-d]pyridazine (3e)

4.4.6. 1,4-Bis(methylthio)benzo[g]phthalazine (5a)

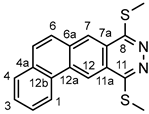
4.4.7. 8,11-Bis(methylthio)naphtho[1,2-g]phthalazine (5bc)

4.4.8. 1-(3,5-Dimethyl-1H-pyrazol-1-yl)-4-(methylthio)benzo[g]phthalazine (6a)

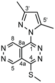
4.4.9. 8-(3,5-Dimethyl-1H-pyrazol-1-yl)-11-(methylthio)naphtho[1,2-g]phthalazine (6c)

4.4.10. 4-(Methylthio)pyridazino[4,5-d]pyridazin-1(2H)-one (7)

4.4.11. 3,5-dimethyl-1-phenyl-1H-pyrazole (8a)

4.4.12. 3,5-Dimethyl-1-(naphthalen-1-yl)-1H-pyrazole (8b)

4.4.13. 3,5-Dimethyl-1-(naphthalen-2-yl)-1H-pyrazole (8c)

4.4.14. 1-(4-Methoxyphenyl)-3,5-dimethyl-1H-pyrazole (8d)

4.4.15. 8’-(3,5-dimethyl-1H-pyrazol-1-yl)-4,5’-bis(methylthio)-1’-(naphthalen-2-yl)-1’H- 1,2’-bipyridazino[4,5-d]pyridazine (32c)

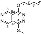
4.4.16. 1-butoxy-4-(methylthio)pyridazino[4,5-d]pyridazine (33)

4.4.17. 4,5’,8’-tris(methylthio)-1’-(naphthalen-2-yl)-1’H-1,2’-bipyridazino[4,5-d]pyridazine (34c)

4.4.18. 1,4-Bis(methylthio)pyridazino[4,5-d]pyridazine (I)

4.4.19. 1-(3,5-Dimethyl-1H-pyrazol-1-yl)-4-(methylthio)pyridazino[4,5-d]pyridazine (II)

5. Conclusions
Supplementary Materials
Author Contributions
Funding
Institutional Review Board Statement
Informed Consent Statement
Data Availability Statement
Acknowledgments
Conflicts of Interest
References
- Akahane, A.; Katayama, H.; Mitsunaga, T.; Kato, T.; Kinoshita, T.; Kita, Y.; Kusunoki, T.; Terai, T.; Yoshida, K.; Shiokawa, Y. Discovery of 6-Oxo-3-(2-phenylpyrazolo[1,5-a]pyridin-3-yl)-1(6H)-pyridazinebutanoic Acid (FK 838): A Novel Non-Xanthine Adenosine A1 Receptor Antagonist with Potent Diuretic Activity. J. Med. Chem. 1999, 42, 779–783.
- Meade, E.A.; Wotring, L.L.; Drach, J.C.; Townsend, L.B. Synthesis and Antiproliferative and Antiviral Activity of Carbohydrate Modified Pyrrolo[2,3-d]pyridazin-7-one Nucleosides. J. Med. Chem. 1997, 40, 794–801.
- Kimura, T.; Fujihara, Y.; Shibakawa, N.; Fujiwara, H.; Itoh, E.; Matsunobu, K.; Tabata, K.; Yasuda, H. Pyrrolopyridazine Derivatives. U.S. Patent 6063782 A, 17 July 1996. 18. Siddiqui, A.A.; Mishra, R.; Shaharyar, M. Synthesis, characterization and antihypertensive activity of pyridazinone derivatives. Eur. J. Med. Chem. 2010, 45, 2283–2290. [CrossRef]
- Siddiqui, A.A.; Mishra, R.; Shaharyar, M. Synthesis, characterization and antihypertensive activity of pyridazinone derivatives. Eur. J. Med. Chem. 2010, 45, 2283–2290. [CrossRef]
- Refaat, H.M.; Khalil, O.M.; Kadry, H.H. Synthesis and anti-inflammatory activity of certain piperazinylthienylpyridazine derivatives. Arch. Pharm. Res. 2007, 30, 803–811. [CrossRef]
- Malinka, W.; Redzicka, A.; Lozach, O. New derivatives of pyrrolo [3,4-d]pyridazinone and their anticancer effects. Farmaco 2004, 59, 457–462. [CrossRef]
- Jiang, J.; Boxer, M.B.; van der Heiden, M.G.; Shen, M.; Skoumbourdis, A.P.; Southall, N.; Veith, H.; Leister, W.; Austin, C.P.; Park, H.W.; et al. Evaluation of thieno [3,2-b]pyrrole [3,2-d]pyridazinones as activators of the tumor cell specific M2 isoform of pyruvate kinase. Bioorg. Med. Chem. Lett. 2010, 20, 3387–3393. [CrossRef]
- Abd El-Ghaffar, N.F.; Mohamed, M.K.; Kadah, M.S.; Radwan, A.M.; Said, G.H.; Abd Al, S.N. Synthesis and antitumor activities of some new pyridazinones containing the 2-phenyl-1H-indolyl moiety. J. Chem. Pharm. Res. 2011, 3, 248–259.
- Rathish, I.; Javed, K.; Ahmad, S.; Bano, S.; Alam, M.; Akhter, M.; Pillai, K.; Ovais, S.; Samim, M. Synthesis and evaluation of anticancer activity of some novel 6-aryl-2-(p-sulfamylphenyl)-pyridazin-3(2H)-ones. Eur. J. Med. Chem. 2012, 49, 304–309. [CrossRef]
- Gutierrez, D.A.; DeJesus, R.E.; Contreras, L.; Rodriguez-Palomares, I.A.; Villanueva, P.J.; Balderrama, K.S.; Monterroza, L.; Larragoity, M.; Varela-Ramirez, A.; Aguilera, R.J. A new pyridazinone exhibits potent cytotoxicity on human cancer cells via apoptosis and poly-ubiquitinated protein accumulation. Cell Biol. Toxicol. 2019, 35, 503–519. [CrossRef]
- Sabelli, C.; Tangocci, P.; Zanazzi, P. F. The crystal structure of pyridazino[4,5-d]pyridazine, Acta Cryst. 1969, B25, 11, 2231–2236.
- Zhylenko, I.S.; Solntsev, P.V.; Rusanov, E.B.; Chernega, A.N.; Domasevitch, K.V. Hydrate frameworks involving the pyridazino[4,5-d]pyridazine unit as a multiple hydrogen-bond acceptor. Acta Crystallogr C. 2008, 64, 237–241. [CrossRef]
- Haider, N. Inverse-electron-demand Diels-Alder reactions of condensed pyridazines, part 1. Synthesis of phthalazine derivatives from pyridazino[4,5-d]pyridazines. Tetrahedron, 1991, 47, 3959–3968. doi.: 10.1016/S0040-4020(01)86436-X.
- Heinisch, G.;. Kirchner, I. Monatsh. Chem. 1979, 210, 365.
- Heinisch, G.; Jentzsch, A.; Pailer, M. Monatsh. Chem. 1974, 205, 648.
- Braun, M.; Hanel, G.; Heinisch, G. Monatsh. Chem. 1978, 109, 63.
- Haider, N.; Heinisch, G.; Kirchner, I. Pyridazin-Analoga biologisch aktiver Verbindungen, 2. Mitt. 4-Aryl-pyridazino[4,5-d]pyridazine mit cyclischem Amin-Substituenten an C-1. Arch. Pharm., 1982, 315, 778–773. [CrossRef]
- Nagy, Zs.T.; Lőrincz, K.; Csámpai, A.; Kotschy, A. The selective functionalization of pyridazino[4,5-d]pyridazines using polar organometallic reagents. Heterocycles, 2007, 71, 141–151. [CrossRef]
- Csámpai, A.; Abrán, Á.; Kudar, V.; Túrós, Gy.; Wamhoff, H.; Sohár, P. Synthesis, NMR, IR spectroscopic and X-ray study of novel [pyridazin-3(2H)-one-6-yl]ferrocenes and related ferrocenophane derivatives. Study on ferrocenes. Part 14. J. Organomet. Chem., 2005, 690, 802–810. [CrossRef]
- Csókás, D.; Zupkó, I.; Károlyi, B.I.; Drahos, L.; Holczbauer, T.; Palló, A.; Czugler, M.; Csámpai, A. Synthesis, spectroscopy, X-ray analysis and in vitro antiproliferative effect of ferrocenylmethylene-hydrazinylpyridazin-3(2H)-ones and related ferroceno[d]pyridazin-1(2H)-ones. J. Organomet. Chem., 2013, 743, 130-138. [CrossRef]
- Csókás, D.; Károlyi, B.I.; Bősze, Sz.; Szabó, I.; Báti, G.; Drahos, L.; Csámpai, A. 2, 3-Dihydroimidazo[1,2-b]ferroceno[d]pyridazines and a 3,4-dihydro-2H-pyrimido[1,2-b]ferroceno[d]pyridazine: Synthesis, structure and in vitro antiproliferation activity on selected human cancer cell lines. J. Organomet. Chem., 2014, 750, 41-48. [CrossRef]
- Jernei, T.; Bősze, Sz.; Szabó, R.; Hudecz, F.; Majrik, K.; Csámpai, A. N-ferrocenylpyridazinones and new organic analogues: Synthesis, cyclic voltammetry, DFT analysis and in vitro antiproliferative activity associated with ROS-generation. Tetrahedron, 2017, 73, 6181-6192. [CrossRef]
- Alaoui, N.-E.E.; Boulhaoua, M.; Hutai, D.; Oláh-Szabó, R.; Bősze, S.; Hudecz, F.; Csámpai, A. Synthetic and DFT Modelling Studies on Suzuki–Miyaura Reactions of 4,5-Dibromo-2-methylpyridazin-3(2H)-one with Ferrocene Boronates, Accompanied by Hydrodebromination and a Novel Bridge-Forming Annulation In Vitro Cytotoxic Activity of the Ferrocenyl–Pyridazinone Products. Catalysts, 2022, 12, 578. [CrossRef]
- Hati, S.; Holzgrabe, U.; Sen, S. Oxidative dehydrogenation of C–C and C–N bonds: A convenient approach to access diverse (dihydro)heteroaromatic compounds. Beilstein J. Org. Chem. 2017, 13, 1670–1692. https://doi.org./10.3762/bjoc.13.162.
- Gaikwad, S.; Kovacikova, L.; Pawar, P.; Gaikwad, M.; Bohác, A.; Dawane, B. An updates: Oxidative aromatization of THβC to β-carbolines and their application for the β-carboline alkaloids synthesis. Tetrahedron, 2024, 155, 133903. [CrossRef]
- Fatykhov, R.F.; Khalymbadzha, I.A.; Sharapov, A.D.; Potapova, A.P.; Mochulskaya, N.N.; Tsmokalyuk, A.N.; Ivoilova, A.V.; Mozharovskaia, P.N.; Santra, S.; Chupakhin, O.N. MnO2-Mediated Oxidative Cyclization of “Formal” Schiff’s Bases: Easy Access to Diverse Naphthofuro-Annulated Triazines. Molecules 2022, 27, 7105. [CrossRef]
- Utecht-Jarzyńska, G.; Kowalczyk, A.; Jasiński, M. Fluorinated and Non-Fluorinated 1,4-Diarylpyrazoles via MnO2-Mediated Mechanochemical Deacylative Oxidation of 5-Acylpyrazolines. Molecules 2022, 27, 8446. [CrossRef]
- Yadav, J. S.; Reddy, B. V. S.; Basak, A. K.; Baishya, G.; Narsaiah, A. V. Iodoxybenzoic acid (IBX): An efficient and novel oxidizing agent for the aromatization of 1,4-dihydropyridines. Synthesis 2006, 451–454. [CrossRef]
- Nageswar, Y.V.D.; Ramesh, K., Rakhi, K. IBX-Mediated Organic Transformations in Heterocyclic Chemistry-A Decade Update. Frontiers in Chemistry, 2022, 10, 841751. [CrossRef]
- Varala, R.; Seema, V.; Alam, M.M.; Dubasi, N.; Vummadi, R.D. Iodoxybenzoic Acid (IBX) in Organic Synthesis: A Septennial Review. Curr. Org. Synth., 2024, 21, 607–664. https:/doi.org/ 10.2174/0115701794263252230924074035.
- Hati, S.; Sen, S. Tetrahedron Lett. 2016, 57, 1040–1043. [CrossRef]
- Yang, R.; Xiong, Y.; Deng, S.; Bai, J.; Song, X.-R.; Xiao, Q. NBS-mediated bromination and dehydrogenation of tetrahydro-quinoline in one pot: scope and mechanistic study. RSC Adv., 2023, 13, 33495–33499. [CrossRef]
- Kamal, A.; Sathish, M.; Prasanthi, A.V.G.; Chetna, J.; Tangella, Y.; Srinivasulu, V.; Shankaraiah, N.; Alarifi, A., An efficient one-pot decarboxylative aromatization of tetrahydro-β-carbolines by using N-chlorosuccinimide: total synthesis of norharmane, harmane and eudistomins. RSC. Adv., 2015, 5, 90121-90126. [CrossRef]
- Zhao, D.; Wang, T.; Li, J.-X. Chem. Commun. 2014, 50, 6471–6474. [CrossRef]
- Litvić, M.; Cepanec, I.; Filipan, M.; Kos, K.; Bartolinčić, A.; Drušković, V.; Tibi, M.M.; Vinković, V., Mild, selective, and high-yield oxidation of hantzsch 1,4-dihydropyridines with lead(IV) acetate, Heterocycles, 2005, 65, 23–35. [CrossRef]
- Hussain, K.; Wadhwa, D., Highly Efficient, One Pot Synthesis and Oxidation of Hantsch 1,4-Dihydropyridines Mediated by Iodobenzene Diacetate (III) Using Conventional Heating, Ultrasonic and Microwave Irradiation. Int. J. Org. Chem., 2014, 4, 174–181. [CrossRef]
- Varma, R. S.; Kumar, D. J. Solid state oxidation of 1,4-dihydropyridines to pyridines using phenyliodine(III) bis(trifluoroacetate) or elemental sulfur. Chem. Soc., Perkin Trans. 1 1999, 1755–1757. [CrossRef]
- Szabó, T.; Hazai, V.; Volk, B.; Milen, M. Simig, Gy. First total synthesis of the β-carboline alkaloids trigonostemine A, trigonostemine B and a new synthesis of pityriacitrin and hyrtiosulawesine. Tetrahedron Lett., 2019, 60, 1471–1475. [CrossRef]
- Manasa, K.L.; Tangella, Y.; Ramu, G.; Babu, B.N. TCCA; A Mild Reagent for Decarboxylative/Dehydrogenative Aromatization of Tetrahydro-β-carbolines: Utility in the Total Synthesis of Norharmane, Harmane, Eudistomin U, I and N. ChemistrySelect, 2017, 2, 9162–9167. [CrossRef]
- Zeynizadeh, B.; Dilmaghani, K.A.; Roozijoy, A., Aromatization of Hantzsch Ester 1,4-Dihydropyridines with Iodine under Normal Conditions and Ultrasound Irradiation. J. Chin. Chem. Soc., 2005, 52, 1001–1004. [CrossRef]
- Liu, Y.; Hu, H.; Wang, X.; Zhi, S.; Kan, Y.; Wang, C., Synthesis of Pyrrole via a Silver-Catalyzed 1,3-Dipolar Cycloaddition/Oxidative Dehydrogenative Aromatization Tandem Reaction. J. Org. Chem. 2017, 82, 8, 4194–4202. [CrossRef]
- Kumar, P.; Kadyan, K.; Duhan, M.; Sindhu, J.; Hussain, K.; Lal, S. Silica-supported ceric ammonium nitrate (CAN): a simple, mild and solid-supported reagent for quickest oxidative aromatization of Hantzsch 1,4-dihydropyridines. Chem. Pap. 2019, 73, 1153–1162. [CrossRef]
- Zolfigol, M.A.; Salehi, P.; Ghorbani-Choghamarani, A.; Safaiee, M.; Shahamirian, M., Silica Chromate as a Novel Oxidizing Agent for the Oxidation of 1,4-Dihydropyridines, Synth. Commun, 2007, 37, 1817–1823. [CrossRef]
- Cai, X.-H.; Yang, H.-J.; Guo-lin Zhang, G.-L., Aromatization of 1,4-dihydropyridines with selenium dioxide Can. J. Chem. 2005, 83: 273–275. [CrossRef]
- Zhu, X.-Q.; Zhao, B.-J.; Cheng, J.-P. Mechanisms of the Oxidations of NAD(P)H Model Hantzsch 1,4-Dihydropyridines by Nitric Oxide and Its Donor N-Methyl-N-nitrosotoluene-p-sulfonamide. J. Org. Chem., 2000, 65, 8158–8163. [CrossRef]
- Li, X.; Li, C.; Yin, B.; Li, C.; Liu, P.; Li, J.; Shi, Z., DDQ-Induced Dehydrogenation of Heterocycles for CC Double Bond Formation: Synthesis of 2-Thiazoles and 2-Oxazoles. Chem. Asian J. 2013, 8, 1408–14011. [CrossRef]
- Patir, S.; Ertürk, E., An Entry to the Azocino[4,3-b]indole Framework through a Dehydrogenative Activation of 1,2,3,4-Tetrahydrocarbazoles Mediated by DDQ: Formal Synthesis of (±)-Uleine. J. Org. Chem. 2011, 76, 335–338. [CrossRef]
- Alsharif, M.A.; Raja, Q.A.; Majeed, N.A.; Jassas, R.S.; Alsimaree, A.A.; Sadiq, A.; Naeem, N.; Mughal, E.U.; Alsantali, R.I.; Moussa, Z.; Ahmed, S.A. DDQ as a versatile and easily recyclable oxidant: a systematic review. RSC Adv., 2021, 11, 29826–29858. https://doi. 10.1039/D1RA04575J.
- Bisek, B.; Chaladaj, W. Access to 2-Alkenyl-furans via a Cascade of Pd-Catalyzed Cyclization/Coupling Followed by Oxidative Aromatization with DDQ. J. Org. Chem. 2024, 89, 10, 7275–7279. [CrossRef]
- Knall, A.-C.; M. Hollauf, M.; Slugovc, C. Kinetic studies of inverse electron demand Diels–Alder reactions (iEDDA) of norbornenes and 3,6-dipyridin-2-yl-1,2,4,5-tetrazine. Tetrahedron Lett., 2014, 55, 4763–4766. [CrossRef]
- Zjang, J.; Zhang, H.; Wang, Z.; Yao, W. Concise Synthesis of Tetrasubstituted 1,6-Dihydropyridazine and Pyridazine Derivatives. Synthesis, 2024; 56, 3915–3922. [CrossRef]
- Litvic’, M.F.; Litvic, M.; Vinkovic, V. An efficient, metal-free, room temperature aromatization of Hantzsch 1,4-dihydropyridines with urea–hydrogen peroxide adduct, catalyzed by molecular iodine, Tetrahedron, 2008, 64, 5649–5656. [CrossRef]
- Tuo, X.; Chen, S.; Jiang, P.; Ni, P.; Wang, X.; Deng, G-J. Iodine-catalyzed convergent aerobic dehydroaromatization toward benzazoles and benzazines. RSC Adv., 2020, 10, 8348–8351. [CrossRef]
- Hati, S.; Sen, S. Cerium Chloride Catalyzed, 2-Iodoxybenzoic Acid Mediated Oxidative Dehydrogenation of Multiple Heterocycles at Room Temperature. Eur. J. Org. Chem., 2017, 3, 1277–128. [CrossRef]
- Zhou, W.; Taboonpong, P.; Aboo, A.H.; Zhang, L.; Jiang, J.; Xiao, J. A Convenient Procedure for the Oxidative Dehydrogenation of N-Heterocycles Catalyzed by FeCl2/DMSO. Synlett, 2016, 27, 1806–1809. [CrossRef]
- Jung, D.; Kim, M.H.; Kim, J. Cu-Catalyzed Aerobic Oxidation of Di-tert-butyl Hydrazodicarboxylate to Di-tert-butyl Azodicarboxylate and Its Application on Dehydrogenation of 1,2,3,4-Tetrahydroquinolines under Mild Conditions. Org. Lett. 2016, 18, 6300–6303. [CrossRef]
- Iosub, A. V.; Stahl, S. S. Catalytic Aerobic Dehydrogenation of Nitrogen Heterocycles Using Heterogeneous Cobalt Oxide Supported on Nitrogen-Doped Carbon. Org. Lett. 2015, 17, 4404–4407. [CrossRef]
- Fujita, K.; Tanaka, Y.; Kobayashi, M.; Yamaguchi, R. Homogeneous perdehydrogenation and perhydrogenation of fused bicyclic N-heterocycles catalyzed by iridium complexes bearing a functional bipyridonate ligand. J. Am. Chem. Soc. 2014, 136, 4829–4832. [CrossRef]
- Wu, J.; Talwar, D.; Johnston, S.; Yan, M.; Xiao, J. Acceptorless dehydrogenation of nitrogen heterocycles with a versatile iridium catalyst. Angew. Chem., Int. Ed. 2013, 52, 6983–6987. [CrossRef]
- Sun, X.; Zhu, J.; Xia, Y.; Wu, L. Palladium Nanoparticles Stabilized by Metal–Carbon Covalent Bonds as an Expeditious Catalyst for the Oxidative Dehydrogenation of Nitrogen Heterocycles. ChemCatChem, 2017, 9, 2463–2466. [CrossRef]
- Jawale, D.V.; Gravel, E.; Shah, N.; Dauvois, V.; Li, H.; Namboothiri, I.N.; Doris, E. Cooperative dehydrogenation of N-heterocycles using a carbon nanotube-rhodium nanohybrid. Chemistry. 2015, 21, 7039–7042. [CrossRef]
- Wu, Y.; Chen, Z.; Cheong, W. C.; Zhang, C.; Zheng, L.; Yan, W.; Yu, R.; Chen, C.; Li, Y. Nitrogen-coordinated cobalt nanocrystals for oxidative dehydrogenation and hydrogenation of N-heterocycles. Chem. Sci. 2019, 10, 5345–5352. [CrossRef]
- Hu, Y.; Li, X.; Liu, M.; Bartling, S.; Lund, H.; Rabeah, J.; Dyson, P.J.; Beller, M.; Jagadeesh, R.V. A Cobalt Nanocatalyst for the Hydrogenation and Oxidative Dehydrogenation of N-heterocycles. ChemCatChem. 2024, 16, e202301027. [CrossRef]
- Sun. K.; Shan, H.; Ma, R.; Wang, P.; Neumann, H.; Lu, G.-P.; Beller, M. Catalytic oxidative dehydrogenation of N-heterocycles with nitrogen/phosphorus co-doped porous carbon materials. Chem. Science, 2022, 13, 6865–6872. [CrossRef]
- Girard, S.A.; Huang, H.; Zhou, F.; Deng, G.-J.; Li, C.-J. Catalytic dehydrogenative aromatization: an alternative route to functionalized arenes. Org. Chem. Front. 2015, 2, 279–287. [CrossRef]
- Kirsch, S.F.; Wegener, M. Oxidation by dehydrogenation. Comprehensive Org. Synth. II. 2014, 7, 1–25. 10.1016/B978-0-08-097742-3.00701-1.
- Zhang, T.; Lv. Y.; Zhang, Z.; Jia, Z.; Loh, T.-P. A Rare Earth Metal Catalyzed Aerobic Dehydrogenation of N-Heterocycles. Org. Lett., 2023, 25, 4468–4472. [CrossRef]
- Nakamichi, N.; Kawashita, Y.; Hayashi M. Oxidative aromatization of 1,3,5-trisubstituted pyrazolines and Hantzsch 1,4-dihydropyridines by Pd/C in acetic acid. Org Lett. 2002 4, 3955–3957. [CrossRef]
- Bera, S.; Bera, A.; Banerjee, D., Nickel-Catalyzed Dehydrogenation of N-Heterocycles Using Molecular Oxygen. Org. Lett. 2020, 22, 6458–6463. [CrossRef]
- Jia, Z., Yang, Q.; Zhang, L.; Luo, S. Photoredox Mediated Acceptorless Dehydrogenative Coupling of Saturated N-Heterocycles. ACS Catal. 2019, 9, 3589–3594. [CrossRef]
- Wang, Z.; Zhao, R.; Li, W.; Sun, H.; Chen, G.; Zhan, F.; Zhao, H. Enhanced catalytic performance for aerobic dehydrogenation of N-heterocycles over bimetallic CoOX-CeO2 catalysts derived from Ce-based MOFs. Molecular Catalysis, 2024, 567, 114450. [CrossRef]
- Enders, L.; Casadio, D.S.; Aikonen, S.; Lenarda, A.; Wirtanen, T.; Hu, T.; Hitela, S.; Ribeiro, L.S.; Pereira, M. F. R.; Helaja, J. Air oxidized activated carbon catalyst for aerobic oxidative aromatizations of N-heterocycles. Catal. Sci. Technol., 2021, 11, 5962–5972.
- Kobayashi, M.; Hikawa, H.; Enda, T.; Kikkawa, S.; Azumaya, I. Synthesis of 1-Aryl-β-Carbolines via a Pd-Catalyzed Oxidative Pictet-Spengler Reaction/Aromatization Cascade Using Benzylic Alcohols in Water. Eur. J. Org. Chem., 2025, 28, e202401269. [CrossRef]
- Ju, S.; Zhou, X.; Jin, H.; Yang, Y.; Yang, L; Wu, J. Stereoselective oxidative C3–N bond dehydrogenation and aromatization of 1-carboxyl substituted tetrahydroisoquinolines employing pipecolate oxidase. Green Synth. and Catal., 2024, in pres. [CrossRef]
- Fabbrizzi, L. The ferrocenium/ferrocene couple: a versatile redox switch. ChemTexts, 2020, 6, 22. [CrossRef]
- Chen, N.; Wu, Z.-J.; Xu, H.-C. Ferrocene as a Redox Catalyst for Organic Electrosynthesis. Israel. J. Chem., 2023, 64, e202300097. [CrossRef]
- Bauer, E.B. Recent Catalytic Applications of Ferrocene and Ferrocenium Cations in the Syntheses of Organic Compounds. Molecules 2024, 29, 5544. [CrossRef]
- Astruc, D. The numerous paths of ferrocene. Nat. Chem. 2023, 15, 1650. [CrossRef]
- Hernández-Muñoz, L.S.; Galano, A.; Astudillo-Sánchez, P.D.; Abu-Omar, M.M.; González, F.J. The mechanism of mediated oxidation of carboxylates with ferrocene as redox catalyst in absence of grafting effects. An experimental and theoretical approach. Electrochim. Acta, 2014, 136, 542–549. [CrossRef]
- Sariga, V.A. The Renaissance of Ferrocene-Based Electrocatalysts: Properties, Synthesis Strategies, and Applications. Top Curr Chem (Z) 2023, 381, 32. [CrossRef]
- Salman, H.M.A.; Mahmoud, M.R.; Abou-El-Wafa, M.H.M.; Rabie, U.M.; Crabtree, R.H. Redox reactions via outer sphere charge transfer complexation: the interaction of ferrocenes with σ- and -type acceptors. Inorg. Chem. Commun., 2004, 7, 1209–1212. [CrossRef]
- Zhao, Y.; Truhlar, D.G. The M06 suite of density functionals for main group thermochemistry, thermochemical kinetics, noncovalent interactions, excited states, and transition elements: two new functionals and systematic testing of four M06-class functionals and 12 other functionals. Theor. Chem. Account, 2008, 120, 215–241. [CrossRef]
- Hehre, J.W.; Radom, L.; Schleyer, P.V.R.; Pople, J.A. Ab initio molecular orbital theory, Wiley, New York, NY, USA, 1986.
- Tomasi, J.; Mennucci, B.; Cancès, E. The IEF version of the PCM solvation method: An overview of a new method addressed to study molecular solutes at the QM ab initio level. J. Mol. Struct. THEOCHEM 1999, 464, 211–226. [CrossRef]
- Alcarazo, M.; Kozhushkov, S.I. Synthetic Applications of Sulfonium Salts. Eur. J. Inorg. Chem. 2020, 26, 2486–2500. [CrossRef]
- Loco, D.; Chataigner, I.; Piquemal, J-P.; Spezia, R. Efficient and Accurate Description of Diels-Alder Reactions Using Density Functional Theory. ChemPhysChem 2022, 23, e202200349. http://doi.org/ doi.org/10.1002/cphc.202200349.
- Medina, J. M.; Mackey, J. L.; Garg, N. K.; Houk, K. N. The Role of Aryne Distortions, Steric Effects, and Charges in Regioselectivities of Aryne Reactions. J. Am. Chem. Soc. 2014, 136, 15798–15805. [CrossRef]
- Ricca, A.; Bauschlicher Jr., C.W.; Allamandola, L.J. The infrared spectroscopy of polycyclic aromatic hydrocarbons with five- and seven-membered fused ring defects. The Astrophys. J., 2011, 729, 94. [CrossRef]
- Gaussian 09, Revision A.02, M. J. Frisch, G. W. Trucks, H. B. Schlegel, G. E. Scuseria, M. A. Robb, J. R. Cheeseman, G. Scalmani, V. Barone, G. A. Petersson, H. Nakatsuji, X. Li, M. Caricato, A. Marenich, J. Bloino, B. G. Janesko, R. Gomperts, B. Mennucci, H. P. Hratchian, J. V. Ortiz, A. F. Izmaylov, J. L. Sonnenberg, D. Williams-Young, F. Ding, F. Lipparini, F. Egidi, J. Goings, B. Peng, A. Petrone, T. Henderson, D. Ranasinghe, V. G. Zakrzewski, J. Gao, N. Rega, G. Zheng, W. Liang, M. Hada, M. Ehara, K. Toyota, R. Fukuda, J. Hasegawa, M. Ishida, T. Nakajima, Y. Honda, O. Kitao, H. Nakai, T. Vreven, K. Throssell, J. A. Montgomery, Jr., J. E. Peralta, F. Ogliaro, M. Bearpark, J. J. Heyd, E. Brothers, K. N. Kudin, V. N. Staroverov, T. Keith, R. Kobayashi, J. Normand, K. Raghavachari, A. Rendell, J. C. Burant, S. S. Iyengar, J. Tomasi, M. Cossi, J. M. Millam, M. Klene, C. Adamo, R. Cammi, J. W. Ochterski, R. L. Martin, K. Morokuma, O. Farkas, J. B. Foresman, and D. J. Fox, Gaussian, Inc., Wallingford CT, 2016.







| entry | precursor | product(s). |
Yields by A (%/%) |
Yields by B (%/%) |
Yields by C (%/%) |
Yields by D (%/%) |
Yields by E (%/%) |
Yields by F (%/%) |
| 1 | 1a | 3a/5a/Ia | 14/–/– | 16/–/– | 18/–/– | 37/24/5 | 45/22/6 | 43/30/6 |
| 2 | 1b | 3b/5bc/I | 17/–/– | 21/–/– | 19/–/– | 35/34/7 | 41/35/6 | 39/32/7 |
| 3 | 1c | 3c/5bc/I | 16/–/– | 16/–/– | 19/–/– | 31/24/5 | 37/34/11 | 32/40/8 |
| 4 | 1d | 3d | 17 | 20 | 24 | 74 | 68 | 80 |
| 5 | 1e | 3e/I | 17/– | 20/– | 22/ | 59/18 | 47/20 | 64/24 |
| 6 | 2a | 6a/II/7/8a | –/–/–/– | –/–/–/– | –/–/–/– | 19/20/7/23 | 26/13/9/19 | 30/19/8/24 |
| 7 | 2b | 6c/II/7/8a | –/–/–/– | –/–/–/– | –/–/–/– | 20/10/17/12 | 20/8/24/18 | 26/9/32/25 |
| 8 | 2c | 6c/II/7/8a | 8/–/–/– | 12/–/–/– | 7/–/–/– | 25/8/36/21 | 22/10/41/27 | 25/9/43/32 |
| 9 | 2d | 7/8d | –/– | –/– | –/– | 44/37 | 37/44 | 46/49 |
| 10 | 2e | II | – | – | – | 52 | 59 | 64 |
Disclaimer/Publisher’s Note: The statements, opinions and data contained in all publications are solely those of the individual author(s) and contributor(s) and not of MDPI and/or the editor(s). MDPI and/or the editor(s) disclaim responsibility for any injury to people or property resulting from any ideas, methods, instructions or products referred to in the content. |
© 2025 by the authors. Licensee MDPI, Basel, Switzerland. This article is an open access article distributed under the terms and conditions of the Creative Commons Attribution (CC BY) license (http://creativecommons.org/licenses/by/4.0/).