Preprint
Article

This version is not peer-reviewed.

Advanced Fitted Mesh Finite Difference Strategies for Solving ’n’ Two-Parameter Singularly Perturbed Convection-Diffusion System

A peer-reviewed article of this preprint also exists.

Submitted:

11 February 2025

Posted:

11 February 2025

You are already at the latest version

Abstract
This paper proposes a robust finite difference method on a fitted Shishkin mesh to solve a system of n singularly perturbed convection-reaction-diffusion differential equations with two small parameters. Defined on the interval [0; 1], this system exhibits boundary layers due to the presence of small parameters, making accurate numerical approximations challenging. The method employs a piecewise uniform Shishkin mesh that adapts to layer regions and efficiently captures the solutions behavior. The scheme is proven to be uniformly convergent with respect to the perturbation parameters, achieving nearly first-order accuracy. Comprehensive numerical experiments validate the theoretical results, illustrating the method’s robustness and efficiency in handling parameter-sensitive boundary layers.
Keywords: 
;  ;  ;  ;  ;  

1. Introduction

Singularly perturbed differential equations (SPDEs) are pivotal with vastly different scales, arising in fields such as fluid dynamics, chemical kinetics, control systems and population dynamics [1,2]. Within this category, singularly perturbed differential equations (SPDEs) pose additional challenges due to the presence of small perturbation parameters, which induce boundary layers. The accurate numerical approximation of these layers is complex, especially because of the two parameters. Various approaches, including fitted mesh [3] and fitted operator methods [4], have been developed to tackle SPDEs. Cen [5] demonstrated a hybrid approach using Shishkin meshes to achieve near-second-order convergence, while Gracia et al. [6] introduced a monotone method for SPDEs with two parameters affecting both convection and diffusion. However, SPDEs governed by multiple small parameters, often denoted as μ and ϵ i ( i = 1 , 2 , , n ) , introduce unique challenges. Specifically, the interactions between these parameters produce intricate boundary layers, often governed by the ratio μ 2 / ϵ i , requiring parameter-robust methods for accurate representation. In this work, a fitted mesh finite difference method designed to be parameter-robust for SPDEs, particularly as both μ and ϵ i tend toward zero. The theoretical analysis establishes stability and bounds for the solution’s derivatives, demonstrating that the proposed method achieves nearly first-order accuracy uniformly with respect to both parameters. The main contribution of this paper is the development of a robust, parameter-insensitive numerical scheme for an n-system of SPDEs in a convection-diffusion-reaction framework. Our approach addresses a broader class of problems in previous studies that focused on either scalar singularly perturbed delay differential equations with two-parameter [10], two systems of singularly perturbed equations without delay terms [11] and system of two singularly perturbed differential equations with delay terms and two parameter [12].A key novelty of this paper is its ability to handle the complex interaction between two distinct perturbation parameters affecting the convection and diffusion terms in an n-system of equations. This work advances the numerical analysis of SPDEs by providing a robust scheme that accurately resolves boundary layers, even under two parameter conditions and achieve parameter uniform convergence, significantly enhancing the numerical analysis of SPDEs.

2. Formulation of the Problem

The system of singularly perturbed two-parameter differential equations is under consideration
E u ( ϰ ) + μ A ( ϰ ) u ( ϰ ) B ( ϰ ) u ( ϰ ) = f ( ϰ ) for all ϰ Ω = ( 0 , 1 ) ,
u ( 0 ) = φ , u ( 1 ) = ι .
Here, u = u 1 u 2 u n , f = f 1 f 2 f n ,   E = ϵ 1 0 0 0 ϵ 2 0 0 0 ϵ n , A ( ϰ ) = a 1 ( ϰ ) 0 0 0 a 2 ( ϰ ) 0 0 0 a n ( ϰ ) ,   B ( ϰ ) = b 11 ( ϰ ) b 12 ( ϰ ) b 1 n ( ϰ ) b 21 ( ϰ ) b 22 ( ϰ ) b 2 n ( ϰ ) b n 1 ( ϰ ) b n 2 ( ϰ ) b n n ( ϰ ) , where ϵ i , for i = 1 , 2 , , n satisfy 0 < ϵ 1 < ϵ 2 < < ϵ n 1 and μ , satisfy 0 < μ 1 are small parameters. The functions a i ( ϰ ) , b i j ( ϰ ) and f i ( ϰ ) that act as coefficients, which are all sufficiently smooth over the domain Ω ¯ = [ 0 , 1 ] and a i ( ϰ ) α > 0 , b i i ( ϰ ) j = 1 n b i j ( ϰ ) β > 0 , b i j ( ϰ ) > 0 ,   for i , j = 1 , 2 , , n and i j . The value of γ is determined as
γ = min ϰ Ω ¯ b i i ( ϰ ) j = 1 n b i j ( ϰ ) a i ( ϰ ) for i = 1 , 2 , , n and i j .
When μ = 0 , the above problem is considered in [13]. The problem demonstrates boundary layers influenced by both ϵ i and μ , in particular, the layers are influenced by the ratio of μ 2 ϵ i . If μ 2 ϵ i γ α , 1 i n , the reduced problem can be expressed as
B ( ϰ ) u ( ϰ ) = f ( ϰ ) , ϰ ( 0 , 1 ] .
This predicts a boundary layer of width O ( ϵ i ) near ϰ = 0 assuming u ( 0 ) φ ( 0 ) . A similar boundary layer of width O ( ϵ i ) is expected near ϰ = 1 , if u ( 1 ) ι . If μ 2 ϵ j γ α , 1 < i < j n , the reduced problem is
μ A ( ϰ ) u ( ϰ ) B ( ϰ ) u ( ϰ ) = f ( ϰ ) , ϰ ( 0 , 1 ) ,
with boundary conditions u ( ϰ ) = φ ( ϰ ) on [ 1 , 0 ] , u ( 1 ) = ι . This problem remains singularly perturbed with the parameter μ . A boundary layer of width O ( μ ) is anticipated near ϰ = 1 . Additionally, a boundary layer of width O ( ϵ i μ ) is anticipated near ϰ = 0 , if u ( 0 ) φ ( 0 ) . Numerical experiments suggest that the interior right layer weakens considerably when ϵ i μ 2 .

3. Analytical Results

This section presents a minimum principle, establishes a stability result and derives estimates for the derivatives of the solution associated with the problem defined by Equation (1).
Lemma 3.1. 
Let ψ = ( ψ 1 , ψ 2 , ψ n ) T be such that ψ ( 0 ) 0 , ψ ( 1 ) 0 , L ψ 0 on ( 0 , 1 ) , then ψ 0 on [ 0 , 1 ] .
Proof. 
Assume ϰ * and s * are such that ψ s * ( ϰ * ) = min ϰ Ω , s = 1 , 2 , , n ψ s ( ϰ ) . Suppose ψ s * ( ϰ * ) < 0 . Then, ϰ * cannot be at the boundaries 0 or 1. At ϰ * , the first derivative of ψ s * , denoted as ψ s * ( ϰ * ) = 0 and the second derivative ψ s * ( ϰ * ) 0 .
Claim: ϰ * ( 0 , 1 ) . If ϰ * ( 0 , 1 ) , then
( L ψ ) s * ( ϰ * ) = ϵ s * ψ s * ( ϰ * ) + μ a s * ( ϰ * ) ψ s * ( ϰ * ) j = 1 n b s * j ( ϰ * ) ψ j ( ϰ * ) > 0 ,
which contradicts the assumption that L ψ 0 on ( 0 , 1 ) . Thus, ϰ * ( 0 , 1 ) . Therefore, ψ 0 on [ 0 , 1 ] . The proof of the lemma is complete. □
Lemma 3.2.(Stability Result)
Let ψ C 2 ( Ω ¯ ) , for ϰ Ω ¯ ,
| ψ i ( ϰ ) | max | ψ ( 0 ) | , | ψ ( 1 ) | , 1 κ L ψ Ω .
Proof. 
Define
M = max | ψ ( 0 ) | , | ψ ( 1 ) | , 1 κ L ψ Ω .
Consider the functions θ ± ( ϰ ) = M e ± ψ ( ϰ ) , where e = ( 1 , 1 , , 1 ) T . Clearly, θ ± ( 0 ) 0 , θ ± ( 1 ) 0 and L θ ± ( x ) 0 for all ϰ Ω . Hence, by Lemma 3.1, proves that | ψ i ( ϰ ) | M , which yields the required result. □
Theorem 3.1. 
Let u be the solution of (1) and then, its derivatives satisfy the following bounds on Ω,
| u i ( k ) ( ϰ ) | C ( ϵ i ) k 1 + μ ϵ i k max { u , f } ,
u i ( 3 ) ( ϰ ) C ( ϵ i ) 3 1 + μ ϵ i 3 max u , f , f ,
| u i ( 4 ) ( ϰ ) | C ( ϵ i ) 4 1 + μ ϵ i 4 max u , f , f , f
where the constant C is independent of ϵ i and μ , i = 1 , 2 , , n and k = 1 , 2 .
Proof. 
The proof follows the methodology outlined in Lemma 2.2 of [8]. For any ϰ ( 0 , 1 ) , a neighborhood N p = ( p , p + ϵ i ) such that ϰ N p and N p ( 0 , 1 ) . According to the mean value theorem, there exists a y N p satisfying
u i ( y ) = u i ( p + ϵ i ) u i ( p ) ϵ i | u i ( y ) | 2 u i ϵ i .
Now,
u i ( ϰ ) = u i ( y ) + y ϰ u i ( η ) d η .
Thus,
| u i ( ϰ ) | C ϵ i 1 + μ ϵ i max { u , f } .
The bounds for u i are obtained from Eq. (1). Similarly, the bounds of u i and u i ( i v ) can be established for higher-order derivatives through analogous corresponding manipulations. The proof of the theorem is complete. □

4. Shishkin Decomposition of the Solution

For each of the cases α μ 2 γ ϵ i and α μ 2 γ ϵ j , u is expressed by
u = v + w L + w R ,
where
w L ( ϰ ) = w 1 L ( ϰ ) w 2 L ( ϰ ) w n L ( ϰ ) , for ϰ [ 0 , 1 ] , w R ( ϰ ) = w 1 R ( ϰ ) w 2 R ( ϰ ) w n R ( ϰ ) , for ϰ [ 0 , 1 ]
Case (i): α μ 2 γ ϵ i
In this case, for 1 i n ,
L v ( ϰ ) = f ( ϰ ) , for ϰ ( 0 , 1 ) , v ( 0 ) and v ( 1 ) are selected ,
L w L ( ϰ ) = 0 , for ϰ ( 0 , 1 ) , w L ( 0 ) = u ( 0 ) v ( 0 ) c ( ϵ i , μ ) , w L ( 1 ) = 0 ,
L w R ( ϰ ) = 0 , for ϰ ( 0 , 1 ) , w R ( 0 ) = c ( ϵ i , μ ) , w R ( 1 ) = k ( ϵ i , μ ) ,
Case (ii): α μ 2 γ ϵ j
In this case, for 1 < i < j n ,
L v ( ϰ ) = f ( ϰ ) , for ϰ ( 0 , 1 ) , v ( 0 ) and v ( 1 ) are selected ,
L w L = 0 , for ϰ ( 0 , 1 ) , w L ( 0 ) = u ( 0 ) v ( 0 ) c ( ϵ i , μ ) , w L ( 1 ) = 0 ,
L w R = 0 , for ϰ ( 0 , 1 ) , w R ( 0 ) = c ( ϵ i , μ ) , w R ( 1 ) = k ( ϵ i , μ ) .
To ensure that the constants k ( ϵ i , μ ) must be selected appropriately. Additionally, the constants c ( ϵ i , μ ) should be determined independently for the cases α μ 2 γ ϵ i and α μ 2 γ ϵ j , ensuring they meet the bounds required for the singular component. Given that u ( 0 ) and u ( 1 ) are bounded by constants that do not depend on ϵ i and μ , even though c and k are functions of ϵ i and μ , the magnitudes | c | and | k | are constants independent of ϵ i and μ .

5. Bounds on the Regular Component and Its Derivatives

To establish the result, by estimating bounds for the smooth components and their derivatives on the interval [ 0 , 1 ] . Specifically, by decomposing each component with respect to ϵ n , then apply ϵ n 1 to the first n 1 components, followed by ϵ n 2 for the first n 2 components, and so on. This step-by-step decomposition approach is as follows for both cases.
Case (i): α μ 2 γ ϵ i
Establishing the bounds of the regular component v , it is broken down as
v = y n + ϵ n z n + ϵ n 2 q n + ϵ n 3 p n .
Here, y n = ( y n 1 , y n 2 , . . . , y n n ) T represents the solution
B n ( ϰ ) y n ( ϰ ) = f ( ϰ ) , for ϰ [ 0 , 1 ] ,
where z n = ( z n 1 , z n 2 , . . . , z n n ) T is the solution of
B n ( ϰ ) z n ( ϰ ) = ϵ n 1 E y n + μ ϵ n 1 A n y n , for ϰ [ 0 , 1 ] ,
where q n = ( q n 1 , q n 2 , . . . , q n n ) T represents the solution of
B n ( ϰ ) q n ( ϰ ) = ϵ n 1 E z n + μ ϵ n 1 A n z n , for ϰ [ 0 , 1 ] ,
where p n = ( p n 1 , p n 2 , . . . , p n n ) T is the solution of
L p n ( ϰ ) = ϵ n 1 E q n + μ ϵ n 1 A n q n on ( 0 , 1 ) .
Since ϵ n 1 E is a matrix whose entries are bounded and hence, for 0 k 3 ,
y n ( k ) C , z n ( k ) C , q n ( k ) C .
Now using Theorem 3.1 and (18), for the choice of p n n ( 0 ) = 0 , then
| p n n ( k ) | C ϵ n k .
Then, from (19) and (20), it is found that
| v n ( k ) | C ( 1 + ( ϵ n ) 3 k ) .
In order to facilitate the estimation of bounds v i ( k ) for 1 i n 1 , the following representation is introduced, for 1 l n , E l = ϵ 1 0 0 0 ϵ 2 0 0 0 ϵ l ,   A l = a 1 0 0 0 a 2 0 0 0 a l ,   B l = b 11 b 12 b 1 l b 21 b 22 b 2 l b l 1 b l 2 b l l ,   p ˜ l = ( p l 1 , p l 2 , , p l ( l 1 ) ) T , g ( l 1 ) = ( g ( l 1 ) 1 , g ( l 1 ) 2 , , g ( l 1 ) ( l 1 ) ) T , with g ( l 1 ) j = ϵ j ϵ l q l j + μ ϵ l A l q l j + b j l p l l . To proceed with the analysis, considering the system of first n 1 equations in (18),
L ˜ n p ˜ n E n 1 p ˜ n ( ϰ ) + A n 1 ( ϰ ) p ˜ n ( ϰ ) B n 1 ( ϰ ) p ˜ n ( ϰ ) = g n 1 ( ϰ ) .
The decomposition of p ˜ n proceeds similarly to equation above,
p ˜ n = y n 1 + ϵ n 1 z n 1 + ϵ n 1 2 q n 1 + ϵ n 1 3 p n 1 .
Similarly proceeding like above, Thus, the problem associated with p n , is similar as in (18). By applying the estimates, the bound on the solution is obtained for 0 k 3 , y n 1 ( k ) C ( 1 + ( ϵ n ) 1 k ) ,   z n 1 ( k ) C ( ϵ n ) k ,   q n 1 ( k ) C ( ϵ n ) k 1 . Then using Theorem 3.1 and q n 1 ( k ) , | p ( n 1 ) ( n 1 ) ( k ) | C ϵ n 3 ϵ n 1 k . Therefore, | v n 1 ( k ) | C ( 1 + ( ϵ n 1 ) 3 k ) . Employing a similar approach, singularly perturbed systems of l equations can be formulated, where l = n 2 , n 3 , , 2 , 1 ,
L ˜ l + 1 p ˜ l + 1 E l p ˜ l + 1 ( ϰ ) + A l ( ϰ ) p ˜ l + 1 ( ϰ ) B l ( ϰ ) p ˜ l + 1 ( ϰ ) = g l ( ϰ ) .
Applying a similar decomposition yields | v l ( k ) | C ( 1 + ( ϵ l ) 3 k ) . For each i, where 1 i n and 0 k 3 , thus, the bound is
| v i ( k ) | C ( 1 + ( ϵ i ) 3 k ) .
Case (ii): α μ 2 γ ϵ j
Establishing the bounds of the regular component v , it is broken down as
v = y n + ϵ n z n + ϵ n 2 q n + ϵ n 3 p n .
Furthermore, the maximum principle for a linear operator of first-order in the context of a terminal value problem has been demonstrated. Define the operators
L 1 μ A ( ϰ ) u ( ϰ ) B ( ϰ ) u ( ϰ ) .
Decompose y n , z n , q n , individually and similarly proceeding like case (i), for 1 i n and 0 k 3 , the bound is determined as follows
| v i ( k ) | C ( 1 + ϵ i 3 k μ k 3 ) .

6. Layer Functions

The functions for the layers are denoted by B i l ( ϰ ) and B i r ( ϰ ) , 1 i n are specified over the interval [ 0 , 1 ]
B i l ( ϰ ) = e θ i ϰ , α μ 2 γ ϵ i e λ i ϰ , α μ 2 γ ϵ j , B i r ( ϰ ) = e θ i ( 1 ϰ ) , α μ 2 γ ϵ i e κ ( 1 ϰ ) , α μ 2 γ ϵ j ,
where θ i = γ α ϵ i ; λ i = α μ ϵ i ; κ = γ 2 μ , for 1 i n . Following the Lemma 5 presented in [13], the points ϰ s 0 , 1 2 which satisfy the conditions, B i l , B j l , B i r , B j r , 1 i < j n and for the case α μ 2 γ ϵ i can be proved.
B i l ( ϰ i , j ( k ) ) ϵ i k = B j l ( ϰ i , j ( k ) ) ϵ j k on [ 0 , 1 ] , B i r ( 1 ϰ i , j ( k ) ) ϵ i k = B j r ( 1 ϰ i , j ( k ) ) ϵ j k on [ 0 , 1 ] , 0 k 2 .
Similarly, for the case α μ 2 γ ϵ j , it can be demonstrated that there exist points ϰ i , j ( s ) , s = 1 , 2 , 3 in 0 , 1 2 such that
B i l ( ϰ i , j ( s ) ) ϵ i s = B j l ( ϰ i , j ( s ) ) ϵ j s .

7. Bounds on the Singular Component and Its Derivatives

Theorem 7.1. 
Let w L , w R satisfy problems (10), (11) and (13), (14) for the cases α μ 2 γ ϵ i and α μ 2 γ ϵ j respectively. Consequently, the components of w L and w R , satisfy the following bounds on ( 0 , 1 ) . For the case α μ 2 γ ϵ i , 1 i n ,
| w i L ( ϰ ) | C B n l ( ϰ ) , | w i L , ( 1 ) ( ϰ ) | C ϵ i 1 / 2 B i l ( ϰ ) + ϵ n 1 / 2 B n l ( ϰ ) , | w i L , ( 2 ) ( ϰ ) | C k = i n ϵ k 1 / 2 B k l ( ϰ ) , | w i L , ( 3 ) ( ϰ ) | C ϵ i 1 k = 1 i 1 ϵ k 1 / 2 B k l ( ϰ ) + k = i n ϵ k 1 / 2 B k l ( ϰ ) .
For the case α μ 2 γ ϵ j , 1 i < j n ,
| w i L ( ϰ ) | C B n l ( ϰ ) , | w i L , ( 1 ) ( ϰ ) | C μ ϵ i 1 B i l ( ϰ ) + ϵ n 1 B n l ( ϰ ) , | w i L , ( 2 ) ( ϰ ) | C μ 2 k = j n ϵ k 2 B k l ( ϰ ) , | w i L , ( 3 ) ( ϰ ) | C μ 3 ϵ i 1 k = 1 j 1 ϵ k 2 B k l ( ϰ ) + k = j n ϵ k 3 B k l ( ϰ ) .
Moreover, the components satisfy the following bounds of w R . For the case α μ 2 γ ϵ i ,
| w i R ( ϰ ) | C B n r ( ϰ ) , | w i R , ( 1 ) ( ϰ ) | C ϵ i 1 / 2 B i r ( ϰ ) + ϵ n 1 / 2 B n r ( ϰ ) , | w i R , ( 2 ) ( ϰ ) | C k = i n ϵ k 1 / 2 B k r ( ϰ ) , | w i R , ( 3 ) ( ϰ ) | C ϵ i 1 k = 1 i 1 ϵ k 1 / 2 B k r ( ϰ ) + k = i n ϵ k 1 / 2 B k r ( ϰ ) .
For the case α μ 2 γ ϵ j ,
| w i R ( ϰ ) | C B n r ( ϰ ) , | w i R , ( k ) ( ϰ ) | C μ k B i r ( ϰ )
for k = 1 , 2 , 3 .
Proof. For the case α μ 2 γ ϵ j , defining the barrier functions ψ ± = ψ 1 ± , ψ 2 ± , , ψ n ± , where ψ i ± = C B n l ± w i L for i = 1 , 2 , , n . It is evident that ψ i ± ( 0 ) 0 and ψ i ± ( 1 ) 0 . Additionally, ( L ψ ± ) i ( x ) 0 for all ϰ in the interval ( 0 , 1 ) . Therefore, by hypothesis, it follows that | w i L ( ϰ ) | C B n l ( ϰ ) . Considering the equation of w i L from (13),
ϵ i w i L , ( ϰ ) + μ a i ( ϰ ) w i L , ( ϰ ) + j = 1 n b i j ( ϰ ) w j L ( ϰ ) = 0 .
This can also be written as,
w i L , ( ϰ ) + μ ϵ i a i ( ϰ ) w i L , ( ϰ ) = 1 ϵ i j = 1 n b i j ( ϰ ) w j L ( ϰ ) 1 ϵ i h i ( ϰ ) ,
where h i ( ϰ ) = j = 1 n b i j ( ϰ ) w j L ( ϰ ) . Now, taking A i ( 0 ) = a i ,
w i L , ( ϰ ) = w i L , ( 0 ) e μ ϵ i ( A i ( ϰ ) ) + ϵ i 1 0 x h i ( s ) e μ ϵ i ( A i ( s ) A i ( ϰ ) ) d s ,
where A i ( ϰ ) is the indefinite integral of a i ( ϰ ) . Using the bounds on u , it is established that | w i L , ( 0 ) | C ϵ i 1 . Using the inequality e μ ϵ i ( A i ( s ) A i ( ϰ ) ) e μ ϵ i β ( ϰ s ) and using integration by parts, from the above it follows that | w i L , ( ϰ ) | C ϵ i 1 B i l ( ϰ ) + ϵ n 1 B n l ( ϰ ) . Using a similar argument, it can be | w i L , ( ϰ ) | C k = j n ϵ k 2 B k l ( ϰ ) . Differentiating the above equation and using a similar procedure as above, it can be shown that
| w i L , ( ϰ ) | C ϵ i 1 k = 1 j 1 ϵ k 2 B k l ( ϰ ) + k = j n ϵ k 3 B k l ( ϰ ) .
It has been established that | w i L , ( ϰ ) | C ϵ i 1 B i l ( ϰ ) + ϵ n 1 B n l ( ϰ ) . Consequently,
| ( L w L ) i ( ϰ ) | C μ ϵ i B i l ( ϰ ) + μ ϵ n B n l ( ϰ ) ,
by introducing the barrier functions ψ ± ( ϰ ) = C μ ϵ i B i l ( ϰ ) + μ ϵ n B n l ( ϰ ) ± w i L , ( ϰ ) , it can be demonstrated that ψ ± 0 on [ 0 , 1 ] and L ψ ± ( ϰ ) 0 on [ 0 , 1 ] , which implies
| w i L , ( ϰ ) | C μ ϵ i B i l ( ϰ ) + μ ϵ n B n l ( ϰ ) .
By introducing another barrier functions ϕ ± ( ϰ ) = C μ 2 k = 1 j 1 ϵ k 2 B k l ( ϰ ) + μ 2 k = j n ϵ k 2 B k l ( ϰ ) ± w i L , ( ϰ ) , as a result, | w i L , ( ϰ ) | C μ 2 k = j n ϵ k 2 B k l ( ϰ ) . Differentiating the equations of w i L once and applying the bounds of w i L , and w i L , , it is observed that
| w i L , ( ϰ ) | C μ 3 ϵ i 1 k = 1 j 1 ϵ k 2 B k l ( ϰ ) + k = j n ϵ k 3 B k l ( ϰ ) .
Next, the bounds on w L for the case α μ 2 γ ϵ i are derived. The bounds on w i L ( ϰ ) can be derived by defining the barrier functions ψ i ± ( ϰ ) = C B n l ( ϰ ) ± w i L ( ϰ ) , i = 1 , 2 , , n . To bound w i L , ( ϰ ) the argument continues as described and from w i L in (10) and utilizing Theorem 3.1, | w i L , ( ϰ ) | C ϵ i 1 / 2 B i l ( ϰ ) . To improve the above bound on | w i L ( ϰ ) | , it is proceeded as follows and differentiating w i L in (10) once, obtaining
| ( L w L , ) i ( ϰ ) | C ϵ 2 1 / 2 B i l ( x ) .
To establish the necessary bounds, the barrier functions are defined as follows,
ϕ i ± ( x ) = C ϵ i 1 / 2 B i l ( ϰ ) + ϵ n 1 / 2 B n l ( ϰ ) ± w i L , ( ϰ ) , i = 1 , 2 , , n .
The bound on w i L , ( ϰ ) is obtained from the equation of w i L in (10). To bound w i L , ( ϰ ) , the defining equation undergoes differentiation twice and thrice respectively and using an argument analogous to that employed for bounding w i L , ( ϰ ) that leads to the required bounds. The bound on w i L , ( ϰ ) is obtained by differentiating the equation of w i L in (10) once and then utilizing the bounds of w i L , ( ϰ ) and w i L , ( ϰ ) , it can be seen that
| w i L , ( ϰ ) | C ϵ i 1 k = 1 i 1 ϵ k 1 / 2 B k l ( ϰ ) + k = i n ϵ k 1 / 2 B k l ( ϰ ) .
The bounds on w R and its derivatives are established for the case α μ 2 γ ϵ j . In this scenario, w R is decomposed over the interval ( 0 , 1 ) .
w R = q n R + ϵ n p n R + ϵ n 2 z n R + ϵ n 3 y n R ,
this leads to
μ A ( ϰ ) q n R , B ( ϰ ) q n R = 0
μ A ( ϰ ) p n R , B ( ϰ ) p n R = ϵ n 1 E q n
μ A ( ϰ ) z n R , B ( ϰ ) z n R = ϵ n 1 E p n
L y n R ( ϰ ) = ϵ n 1 E z n .
Since ϵ n 1 E is a matrix with bounded entries, and hence it follows, for 0 k 3 ,
q n R , ( k ) C μ k , p n R , ( k ) C μ ( k + 2 ) , z n R , ( k ) C μ ( k + 4 ) .
Now using Theorem 3.1 and (31), for the choice of y n n R ( 0 ) = 0 , then
| y n n R , ( k ) | C ϵ n k μ k 6 .
Then from (32) and (33), it follows that | w n R , ( k ) | C μ k . The decomposition for each component with respect to ϵ n is given, then apply ϵ n 1 to the first n 1 components, followed by ϵ n 2 for the first n 2 components, and so on. For 1 i n and 0 k 3 , the bound is determined as | w i R , ( k ) | C μ k . Utilizing the previous derivations, deriving w R ( ϰ ) | C B i r ( ϰ ) C e γ μ ( 1 ϰ ) , similarly finding | w i R , ( k ) ( ϰ ) | C μ k B i r ( ϰ ) for k = 1 , 2 , 3 .

8. Sharper Bounds for w i L

To achieve sharper bounds on the derivatives of the singular components w i L , these components are further decomposed for [0,1]. This refinement will help in demonstrating the methods convergence rate approaching nearly first order accuracy. Now, the focus is on the case α μ 2 γ ϵ j . In addition to that, the following ordering holds
ϰ i , j ( k ) < ϰ i + 1 , j ( k ) , if i + 1 < j and ϰ i , j ( k ) < ϰ i , j + 1 ( k ) , if i < j .
For w L , it is decomposed as follows, w i L = ρ = 1 n w i , ρ L on [0,1], where the components w i , ρ L are defined, on the interval [ 0 , 1 ] , by
w i , n L ( ϰ ) = k = 0 3 ( ( ϰ ϰ n 1 , n ( 2 ) ) k k ! ) w i L , ( k ) ( ϰ n 1 , n ( 2 ) ) , on [ 0 , ϰ n 1 , n ( 2 ) ) w i L ( ϰ ) on ( ϰ n 1 , n ( 2 ) , 1 ] ,
for n 1 ρ i ,
w i , ρ L ( ϰ ) = k = 0 3 ( ( ϰ ϰ ρ 1 , ρ ( 2 ) ) k k ! ) ϱ i , ρ ( k ) ( ϰ ρ 1 , ρ ( 2 ) ) , on [ 0 , ϰ ρ 1 , ρ ( 2 ) ) ϱ i , ρ ( ϰ ) on ( ϰ ρ 1 , ρ ( 2 ) , 1 ]
and for i 1 ρ 2 ,
w i , ρ L ( ϰ ) = k = 0 3 ( ( ϰ ϰ ρ 1 , ρ ( 1 ) ) k k ! ) ϱ i , ρ ( k ) ( ϰ ρ 1 , ρ ( 1 ) ) , on [ 0 , ϰ ρ 1 , ρ ( 1 ) ) ϱ i , ρ ( ϰ ) on ( ϰ ρ 1 , ρ ( 1 ) , 1 ]
with ϱ i , ρ = k = ρ + 1 n w i , k L and w i , 1 L = w i L k = 2 n w i , k L , on [ 0 , 1 ] .
Lemma 8.1. 
Given the decompositions of component w i , ρ L for each ρ and i , 1 i n , 1 ρ n , satisfy the following estimates hold on [0,1]
| w i , ρ L , ( ϰ ) | C μ 3 ϵ i 1 ϵ ρ 2 B ρ l ( ϰ ) , if i ρ , | w i , ρ L , ( ϰ ) | C μ 3 ϵ i 2 ϵ ρ 1 B ρ l ( ϰ ) , if i > ρ ,
| w i , ρ L , ( ϰ ) | C μ 2 ϵ i 1 ϵ ρ 1 B ρ l ( ϰ ) , if i ρ < n , | w i , ρ L , ( ϰ ) | C μ 2 ϵ i 2 B ρ l ( ϰ ) , if i > ρ ,
| w i , ρ L , ( ϰ ) | C μ ϵ i 1 B ρ l ( ϰ ) , if i < ρ .
Proof. 
For the interval [0,1], differentiating (34) thrice,
| w i , n L , ( ϰ ) | = | w i L , ( ϰ n 1 , n ( 2 ) ) | , on [ 0 , ϰ n 1 , n ( 2 ) ) | w i L , ( ϰ ) | on ( ϰ n 1 , n ( 2 ) , 1 ] .
Then for ϰ [ 0 , ϰ n 1 , n ( 2 ) ) , using Theorem 7.1,
| w i , n L , ( ϰ ) | C μ 3 ϵ i 1 k = 1 i 1 ϵ k 2 B k l ( ϰ n 1 , n ( 2 ) ) + k = i n ϵ k 2 B k l ( ϰ n 1 , n ( 2 ) ) .
Since ϰ k , n ( 2 ) ϰ n 1 , n ( 2 ) for k < n , ϵ k 2 B k l ( ϰ n 1 , n ( 2 ) ) ϵ n 2 B n l ( ϰ n 1 , n ( 2 ) ) and hence
| w i , n L , ( ϰ ) | C μ 3 ϵ i 1 ϵ n 2 B n l ( ϰ n 1 , n ( 2 ) ) C μ 3 ϵ i 1 ϵ n 2 B n l ( ϰ ) .
For ϰ [ ϰ n 1 , n ( 2 ) , 1 ] ,
| w i , n L , ( ϰ ) | = | w i L , ( ϰ ) | C μ 3 ϵ i 1 k = 1 i 1 ϵ k 2 B k l ( ϰ ) + k = i n ϵ k 3 B k l ( ϰ ) .
As ϰ ϰ n 1 , n ( 2 ) , ϵ k 2 B k l ( ϰ ) ϵ n 2 B n l ( ϰ ) and hence for ϰ [ ϰ n 1 , n ( 2 ) , 1 ] ,
| w i , n L , ( ϰ ) | C μ 3 ϵ i 1 ϵ n 2 B n l ( ϰ ) .
From (35) and (36), it is evident that for each ρ , n 1 ρ i and ϰ [ ϰ ρ , ρ + 1 ( 2 ) , 1 ]
w i , ρ L ( ϰ ) = ϱ i , ρ ( ϰ ) = w i L ( ϰ ) k = ρ + 1 n w i , k L ( ϰ ) = w i L ( ϰ ) w i L ( ϰ ) = 0 .
Differentiating (35) thrice on ϰ [ 0 , ϰ ρ 1 , ρ ( 2 ) ) ,
| w i , ρ L , ( ϰ ) | = | ϱ i , ρ ( ϰ ρ 1 , ρ ( 2 ) ) | C μ 3 ϵ i 1 ϵ ρ 2 B ρ l ( ϰ ) .
For ϰ [ ϰ ρ 1 , ρ ( 2 ) , ϰ ρ , ρ + 1 ( 2 ) ) ,
| w i , ρ L , ( ϰ ) | C μ 3 ϵ i 1 ϵ ρ 2 B ρ l ( ϰ ) .
From (35) and (36), it is evident that for each ρ , i 1 ρ 2 , and ϰ [ ϰ ρ , ρ + 1 ( 1 ) , 1 ] ,
w i , ρ L ( ϰ ) = 0 .
Differentiating (36) thrice on ϰ [ 0 , ϰ ρ 1 , ρ ( 1 ) ) ,
| w i , ρ L , ( ϰ ) | = | ϱ i , ρ ( ϰ ρ 1 , ρ ( 1 ) ) | C μ 3 ϵ i 1 k = 1 i 1 ϵ k 2 B k l ( ϰ ρ 1 , ρ ( 1 ) ) + k = i n ϵ k 2 B k l ( ϰ ρ 1 , ρ ( 1 ) )
C μ 3 ϵ i 2 ϵ ρ 1 B ρ l ( ϰ ρ 1 , ρ ( 1 ) ) C μ 3 ϵ i 2 ϵ ρ 1 B ρ l ( ϰ ) .
For ϰ [ ϰ ρ 1 , ρ ( 1 ) , ϰ ρ , ρ + 1 ( 1 ) ) ,
| w i , ρ L , ( ϰ ) | C μ 3 ϵ i 2 ϵ ρ 1 B ρ l ( ϰ ) .
From (36) and w i , 1 L = w i L k = 2 n w i , k L , it is evident that w i , 1 L ( ϰ ) = 0 for ϰ [ ϰ 1 , 2 ( 1 ) , 1 ] and for ϰ [ 0 , ϰ 1 , 2 ( 1 ) ) ,
| w i , 1 L , ( ϰ ) | | w i L , ( ϰ ) | C μ 3 ϵ i 1 k = 1 i 1 ϵ k 2 B k l ( ϰ ) + k = i n ϵ k 2 B k l ( ϰ ) C μ 3 ϵ i 2 ϵ 1 1 B 1 l ( ϰ ) .
Since w i , ρ L , ( 1 ) = 0 for ρ < n , it holds that for any ϰ [ 0 , 1 ] and i > ρ ,
| w i , ρ L , ( ϰ ) | = | ϰ 1 w i , ρ L , ( s ) d s | C μ 2 ϰ 1 ϵ i 2 ϵ ρ 1 B ρ l ( s ) d s C μ 2 ϵ i 2 B ρ l ( ϰ ) .
Hence, | w i , ρ L , ( ϰ ) | C μ 2 ϵ i 2 B ρ l ( ϰ ) , for i > ρ . Similar arguments lead to
| w i , ρ L , ( ϰ ) | C μ 2 ϵ i 1 ϵ ρ 1 B ρ l ( ϰ ) ,
for i ρ and | w i , ρ L , ( ϰ ) | C μ ϵ i 1 B ρ l ( ϰ ) , 1 i n , 1 ρ n . The proof of the theorem is complete. □
Analoguously finding the sharper bounds for the case α μ 2 γ ϵ i
Lemma 8.2. 
Given the decompositions of component w i , ρ L for each ρ and i , 1 i n , 1 ρ n , satisfy the following estimates hold on [ 0 , 1 ]
| w i , ρ L , ( ϰ ) | C ϵ ρ 3 / 2 B ρ l ( ϰ ) , if i ρ , | w i , ρ L , ( ϰ ) | C ϵ ρ 3 / 2 B ρ l ( ϰ ) , if i > ρ ,
| w i , ρ L , ( ϰ ) | C ϵ ρ 1 B ρ l ( ϰ ) , if i ρ < n , | w i , ρ L , ( ϰ ) | C μ 2 ϵ ρ 1 B ρ l ( ϰ ) , if i > ρ ,
Proof. The proof follows the same logic as Lemma 8.1. Analogously the decompositions can be made for w R in both case . Corresponding bounds for these components can be similarly demonstrated in a similar manner.

9. Numerical Method

This section explains the numerical method proposed for (1).

9.1. Shishkin Mesh

For these cases α μ 2 γ ϵ i and α μ 2 γ ϵ j , appropriate Shishkin meshes are developed over the interval [ 0 , 1 ] .
Case (i): α μ 2 γ ϵ i
A piecewise uniform Shishkin mesh is constructed over the interval [ 0 , 1 ] , the interval is divided into subintervals based on transition points as follows, [ 0 , 1 ] [ 1 , 2 ] [ n 1 , n ] [ n , 1 n ] [ 1 n , 1 n 1 ] ( 1 2 , 1 1 ] [ 1 1 , 1 ] . The transition points q for 1 q n are defined as
n = min 1 4 , 2 ϵ n γ α ln N , q = min q q + 1 q + 1 , 2 ϵ q γ α ln N
for q = n 1 , , 1 , ensuring finer mesh density near layer regions. The intervals are populated with points as follows, N 4 n points on all inner regions and for [ n , 1 n ] , a uniform mesh with N 2 n points is placed . If each q takes the left choice in its definition, the mesh becomes a classical uniform mesh, with q = q 4 n and a constant step size h j = N 1 . The step sizes in the intervals are defined as H 1 = 4 n N 1 , H q = 4 n N ( q q 1 ) for 2 q n , and H n + 1 = 2 N ( 1 2 n ) . At each transition point q , the change in step size from h q to h q + is given by h q + h q = 4 n N q + 1 q ( d q d q 1 ) , where d q = q q + 1 q + 1 q , with d n = 0 when n = 1 4 . when d q = 0 for all q = 1 , , n , the mesh Ω N simplifies to a uniform mesh , ensuring uniformly spaced transition points and a constant step size throughout the interval. Then, from (37), q C ϵ q ln N , 1 q n and also q = q m m , d q = = d m = 0 , 1 q m n .
Case (ii): α μ 2 γ ϵ j
A piecewise uniform Shishkin mesh is constructed over the interval [ 0 , 1 ] , the interval is divided into subintervals based on transition points as follows, [ 0 , 1 ] [ 1 , 2 ] [ n 1 , n ] [ n , 1 σ 1 ] [ 1 σ 1 , 1 ] . The transition points q for 1 q n are defined as
n = min 1 4 , 2 ϵ n μ α ln N , q = min q q + 1 q + 1 , 2 ϵ q μ α ln N , σ 1 = min 1 4 , μ γ ln N
for q = n 1 , , 1 , ensuring finer mesh density near layer regions. The intervals are populated with points as follows, N 4 n points on all inner regions, for [ 1 σ 1 , 1 ] a mesh of N 4 n is placed and for [ n , 1 σ 1 ] a mesh of N 2 n is placed . If each q takes the left choice in its definition, the mesh becomes a classical uniform mesh, with q = q 4 n and a constant step size h j = N 1 . The step sizes in the intervals are defined as H 1 = 4 n N 1 , H q = 4 n N ( q q 1 ) for 2 q n , H n + 1 = 2 N ( 1 σ 1 n ) and H s = 4 N σ 1 for [ 1 σ 1 , 1 ] . At each transition point q , the change in step size from h q to h q + is given by h q + h q = 4 n N q + 1 q ( d q d q 1 ) , where d q = q q + 1 q + 1 q , with d n = 0 when n = 1 4 . when d q = 0 for all q = 1 , , n , the mesh Ω N simplifies to a uniform mesh, ensuring uniformly spaced transition points throughout the interval. Then, from (38), q C ϵ q ln N , 1 q n and also q = q m m , d q = = d m = 0 , 1 q m n .

10. The Discrete Problem

The discrete problem is defined as follows,
L N U ( ϰ j ) E δ 2 U ( ϰ j ) + μ A ( ϰ j ) D + U ( ϰ j ) B ( ϰ j ) U ( ϰ j ) = f ( ϰ j ) on Ω N ,
0 j N 1 , with boundary conditions specified as follows,
U ( ϰ 0 ) = φ and U ( ϰ N ) = u ( ϰ N ) ,
where, U = ( U 1 , U 2 2 , , U n ) T for 1 j N 1 . The discrete derivatives are defined as follows
D + U ( ϰ j ) = U ( ϰ j + 1 ) U ( ϰ j ) h j + 1 , D U ( ϰ j ) = U ( ϰ j ) U ( ϰ j 1 ) h j ,
δ 2 U ( ϰ j ) = 1 h ¯ j ( D + U ( ϰ j ) D U ( ϰ j ) ) ,
with h j = ϰ j ϰ j 1 , h ¯ j = h j + h j + 1 2 , ϰ j Ω ¯ N .

11. Numerical Results

This section focuses on establishing discrete minimum principle, demonstrating discrete stability result of the proposed method and proving its first-order convergence.
Lemma 11.1.  (Discrete Minimum Principle) Assume that the mesh function Ψ ( ϰ j ) = ( Ψ 1 ( ϰ j ) , Ψ 2 ( ϰ j ) , , Ψ n ( ϰ j ) ) T satisfies Ψ ( ϰ 0 ) 0 and Ψ ( ϰ N ) 0 . Then, if L N Ψ ( ϰ j ) 0 for 1 j N 1 , it implies that Ψ ( ϰ j ) 0 for all 0 j N .
Proof. Let i * and j * be such that Ψ i * ( ϰ j * ) = min i , j Ψ i ( ϰ j ) and suppose Ψ i * ( ϰ j * ) < 0 . Then, j * { 0 , N } , Ψ i * ( ϰ j * ) Ψ i * ( ϰ j * + 1 ) and Ψ i * ( ϰ j * ) Ψ i * ( ϰ j * 1 ) . Therefore, δ 2 Ψ i * ( ϰ j * ) 0 . For 1 j * N 1 , if ϰ j * Ω N , then
( L N Ψ ) i * ( ϰ j * ) = ϵ i * δ 2 Ψ i * ( ϰ j * ) + μ a i * ( ϰ j * ) D + Ψ i * ( ϰ j * ) k = 1 n b i * k ( ϰ j * ) Ψ k ( ϰ j * ) > 0
which is a contradiction, gives ( L N Ψ ) i * ( ϰ j * ) 0 , implying that Ψ ( ϰ j ) 0 for all 0 j N . The proof of the theorem is complete. □
Lemma 11.2.(Discrete Stability Result) If Ψ ( ϰ j ) = ( Ψ 1 ( ϰ j ) , Ψ 2 ( ϰ j ) , , Ψ n ( ϰ j ) ) T is any mesh function, then
| Ψ i ( ϰ j ) | max | Ψ ( ϰ 0 ) | , | Ψ ( ϰ N ) | , max 1 j N 1 | L N Ψ ( ϰ j ) | .

11.1. Error Estimate

Analogous to the continuous case, the discrete solution U is split into two distinct components V and W .
L N V ( ϰ j ) = f ( ϰ j ) , for 1 < j < N 1 , V ( ϰ j ) = v ( ϰ j ) , for 0 j N ,
L N W L ( ϰ j ) = 0 , for 1 < j < N 1 , W L ( ϰ j ) = w L ( ϰ j ) , for 0 j N ,
L N W R ( ϰ j ) = 0 , for 1 < j < N 1 , W R ( ϰ j ) = w R ( ϰ j ) , for 0 j N .
Lemma 11.3. 
If v is the solution of (7), (9) and (12) and V is the solution of (40), then
| ( V v ) ( ϰ j ) | C N 1 , for 0 j N .
Proof. 
L N ( V v ) ( ϰ j ) = f ( ϰ j ) L N v ( ϰ j ) = ( L L N ) v ( ϰ j )
= E d 2 d ϰ 2 δ 2 v ( ϰ j ) + μ d d ϰ D + A ( ϰ j ) v ( x j )
= ϵ 1 d 2 d ϰ 2 δ 2 v 1 ( ϰ j ) + μ a 1 ( ϰ j ) d d ϰ D + v 1 ( x j ) ϵ 2 d 2 d ϰ 2 δ 2 v 2 ( ϰ j ) + μ a 2 ( ϰ j ) d d ϰ D + v 2 ( ϰ j ) ϵ n d 2 d ϰ 2 δ 2 v n ( ϰ j ) + μ a n ( ϰ j ) d d ϰ D + v n ϰ j ) .
Determining the local truncation error
ϵ i d 2 d ϰ 2 δ 2 v i ( ϰ j ) + μ a i ( ϰ j ) d d ϰ D + v i ( ϰ j ) C ( ϰ j + 1 ϰ j 1 ) ( ϵ i v i + μ v i ) ,
for 0 j N . It is established that ( ϰ j + 1 ϰ j 1 ) C N 1 . In this case α μ 2 γ ϵ i , from (22) and (24),
| L N ( V v ) ( ϰ j ) | C N 1 .
Using Lemma 11.2, consider mesh function, Ψ ± ( ϰ j ) = C N 1 ( e T ) ± ( V v ) ( ϰ j ) . Provided that the value of C is sufficiently large , it follows that Ψ ± ( ϰ 0 ) 0 , Ψ ± ( ϰ N ) 0 and L N Ψ ± ( ϰ j ) 0 . Thus,
| ( V v ) ( ϰ j ) | C N 1 , for 0 j N .
The proof of the lemma is complete. □
The error bounds for singular components w L are estimated for the case α μ 2 γ ϵ j , utilizing the mesh functions B i ( l , N ) ( ϰ j ) for 1 i n considered over Ω ¯ N ,
B i ( l , N ) ( ϰ j ) = k = 1 j 1 + α μ h k 2 ϵ i 1 , with B i ( l , N ) ( ϰ 0 ) = 1 .
Lemma 11.4. 
For the case α μ 2 γ ϵ j , the layer components W i L , 1 i n satisfy the following bounds on Ω ¯ N ,
| W i L ( ϰ j ) | C B n ( l , N ) ( ϰ j )
Proof. 
This result can be demonstrated by defining the mesh functions ψ i ± ( ϰ j ) = C B n ( l , N ) ( ϰ j ) ± W i L ( ϰ j ) , 1 i n and noticing that ψ i ± ( ϰ 0 ) 0 and ψ i ± ( ϰ N ) 0 . Furthermore, ( L N ψ ± ) i ( ϰ j ) 0 , j = 1 , 2 , , N 1 . Therefore, the discrete minimum principle provides the desired outcome. The proof of the lemma is complete. □
Lemma 11.5. 
Assume that d q = 0 , for q = 1 , 2 , , n . Let w L satisfy (13) , W L satisfy (41). Then,
W L w L C N 1 ln N .
Proof. 
The local truncation error is given by
| L N ( W L w L ) | C ( ϰ j + 1 ϰ j 1 ) ϵ i w i L , D + μ w i L , D
where D = [ ϰ j 1 , ϰ j + 1 ] . Since d q = 0 , the mesh Ω ¯ N is uniform, then the value of h = N 1 . In this instance, μ ϵ k 1 C ln N and μ 1 C ln N .
| ( L N ( W L w L ) ) i ( ϰ j ) | C N 1 μ 3 k = 1 i 1 ϵ k 2 B k l ( ϰ j 1 ) + k = i n ϵ k 2 B k l ( ϰ j 1 )
C N 1 μ 2 ln N k = 1 i 1 ϵ k 1 B k l ( ϰ j 1 ) + k = i n ϵ k 1 B k l ( ϰ j 1 ) .
Let the barrier function ϕ ( ϰ j ) = ( ϕ 1 ( ϰ j ) , ϕ 2 ( ϰ j ) , , ϕ n ( ϰ j ) ) T be
ϕ i ( ϰ j ) = C N 1 ln N ν ( α ν ) ( k = 1 i 1 e 2 ν μ h ϵ k Y k ( ϰ j ) + k = i n e 2 ν μ h ϵ k Z k ( ϰ j ) ) ,
on Ω N , where ν is a constant and it satisfies 0 < ν < α , Y k ( ϰ j ) = λ k N j 1 λ k N 1 with λ k = 1 + ν μ h ϵ k , 1 k n , Z k ( ϰ j ) = ζ k N j 1 ζ k N 1 with ζ k = 1 + ν μ h ϵ k , 2 k n . The mesh functions described above is inspired by those constructed in [14]. Now, that 0 Y k ( ϰ j ) , Z k ( ϰ j ) 1 , ( ϵ k δ 2 + μ ν D + ) Y k ( ϰ j ) = 0 , ( ϵ k δ 2 + μ ν D + ) Z k ( ϰ j ) = 0 , D + Y k ( ϰ j ) ν μ ϵ k 1 exp ν μ ϰ j + 1 ϵ i 1 and D + Z k ( ϰ j ) ν μ ϵ k 1 exp ν μ ϰ j + 1 ϵ j 1 . Then, define ψ ± ( ϰ j ) = ϕ ( ϰ j ) ± ( W L w L ) ( ϰ j ) . It is easy to observe that ψ ( ϰ j ) 0 , j = 0 , . . . . . , N and L N ψ ( ϰ j ) 0 , 1 j N 1 . Hence, by applying minimum principle,
| ( W L w L ) ( ϰ j ) | C N 1 ln N .
The proof of the theorem is complete. □
Lemma 11.6. 
Let w L satisfy (13) , W L satisfy (41). Then,
W L w L C N 1 ln N .
Proof. This is demonstrated for each mesh point ϰ j ( 0 , 1 ) by partitioning ( 0 , 1 ) into small subintervals ( a ) ( 0 , 1 ) , ( b ) [ 1 , 2 ) , ( c ) [ m , m + 1 ) for some m , 2 m n 1 , ( d ) [ n , 1 ) . In each case, the local truncation error is estimated and a corresponding barrier function is constructed. Lastly, the desired estimate is derived by utilizing barrier functions.
Case (a): ϰ j ( 0 , 1 )
Clearly ϰ j + 1 ϰ j 1 C ϵ 1 μ 1 N 1 ln N . Using standard local truncation error analysis applied in Taylor expansions, the estimates hold for ϰ j ( 0 , 1 ) and 1 i n ,
| ( L N ( W L w L ) ) i ( ϰ j ) | C N 1 μ 2 ln N k = 1 i 1 ϵ k 1 B k l ( ϰ j 1 ) + k = i n ϵ k 1 B k l ( ϰ j 1 ) .
For ϰ j ( 0 , 1 ) and 1 i n , the mesh functions are considered as
ϕ i ( ϰ j ) = C N 1 ln N k = 1 i 1 e 2 ν μ H 1 ϵ k B k ( l , N ) ( ϰ j ) + k = i n e 2 ν μ H 1 ϵ k B k ( l , N ) ( ϰ j ) + k = 1 n B k ( l , N ) ( k ) .
Utilizing the minimum principle and barrier function Ψ ± ( ϰ j ) = ϕ ( ϰ j ) ± ( W L w L ) ( ϰ j ) , it has been derived that
| ( W L w L ) ( ϰ j ) | C N 1 ln N .
Case (b): ϰ j [ 1 , 2 ) .
There are two possible cases Case (b1):  d 1 = 0 and Case (b2): d 1 > 0 . Case (b1):  d 1 = 0 , since the mesh is uniform over the interval ( 0 , 2 ) . In this case, it follows that ϰ j + 1 ϰ j 1 C ϵ 1 μ 1 N 1 ln N , for ϰ j [ 1 , 2 ) . Then,
| ( L N ( W L w L ) ) i ( ϰ j ) | C N 1 μ 2 ln N k = 1 i 1 ϵ k 1 B k l ( ϰ j 1 ) + k = i n ϵ k 1 B k l ( ϰ j 1 ) .
Now for x j [ 1 , 2 ) and 1 i n , specify
ϕ i ( ϰ j ) = C N 1 ln N k = 1 i 1 e 2 ν μ H 2 ϵ k B k ( l , N ) ( ϰ j ) + k = i n e 2 ν μ H 2 ϵ k B k ( l , N ) ( ϰ j ) + k = 2 n B k ( l , N ) ( k ) .
Utilizing the minimum principle and barrier function Ψ ± ( ϰ j ) = ϕ ( ϰ j ) ± ( W L w L ) ( ϰ j ) , it has been derived that
| ( W L w L ) ( ϰ j ) | C N 1 ln N .
Case (b2): d 1 > 0 . For this case, ϰ j + 1 ϰ j 1 C ϵ 2 N 1 μ 1 ln N , and hence for ϰ j [ 1 , 2 ) , by applying the standard local truncation approach, which is based on Taylor expansions, h ¯ = ϰ j + 1 ϰ j 1 then,
| ( L N ( W L w L ) ) i ( ϰ j ) | C ϵ i μ | w i , 1 L , ( 2 ) ( ϰ j 1 ) | + C ( ϰ j + 1 ϰ j 1 ) ϵ i k = 2 n | w i , k L , ( 3 ) ( ϰ j 1 ) | + C μ | w i , 1 L , ( 1 ) ( ϰ j 1 ) | + C ( ϰ j + 1 ϰ j 1 ) k = 2 n | w i , k L , ( 2 ) ( ϰ j 1 ) | .
Now using Lemma 8.1, it is not hard to derive that
| ( L N ( W L w L ) ) 1 ( ϰ j ) | C N 1 ln N μ 2 k = 2 n ϵ k 1 B k l ( ϰ j 1 ) + C μ 2 ϵ 1 1 B 1 l ( ϰ j 1 ) ,
and for 2 i n ,
| ( L N ( W L w L ) ) i ( ϰ j ) | C N 1 ln N μ 2 k = i n ϵ k 1 B k l ( ϰ j 1 ) + C μ 2 ϵ i 1 B 1 l ( ϰ j 1 ) .
Define
ϕ 1 ( ϰ j ) = C N 1 ln N k = 2 n e ( 2 α μ H 2 / ϵ k ) B k ( l , N ) ( ϰ j ) + C B 1 ( l , N ) ( ϰ j ) + k = 2 n B k ( l , N ) ( k )
and for 2 i n ,
ϕ i ( x j ) = C N 1 ln N k = i n e ( 2 α μ H 2 / ϵ k ) B k ( l , N ) ( ϰ j ) + C B 1 ( l , N ) ( ϰ j ) + k = 2 n B k ( l , N ) ( k ) .
Case (c): ϰ j [ m , m + 1 ) .
The three possibilities Case (c1): d 1 = d 2 = = d m = 0 , Case (c2): d q > 0 and d q + 1 = = d m = 0 for some q, 1 q m 1 , Case (c3): d m > 0 . Case (c1):  d 1 = d 2 = = d m = 0 . Since 1 = C m + 1 and the mesh remains uniform within the interval ( 0 , m + 1 ) , it implies that for ϰ j ( m , m + 1 ] , ϰ j + 1 ϰ j 1 C ϵ 1 μ 1 N 1 ln N and hence
| ( L N ( W L w L ) ) i ( ϰ j ) | C N 1 μ 2 ln N k = 1 i 1 ϵ k 1 B k l ( ϰ j 1 ) + k = i n ϵ k 1 B k l ( ϰ j 1 ) .
For 1 i n ,
ϕ i ( ϰ j ) = C N 1 ln N k = 1 i 1 e 2 ν μ H m + 1 ϵ k B k ( l , N ) ( ϰ j ) + k = i n e 2 ν μ H m + 1 ϵ k B k ( l , N ) ( ϰ j ) + k = m + 1 n B k ( l , N ) ( k ) .
Utilizing the minimum principle and barrier function Ψ ± ( ϰ j ) = ϕ ( ϰ j ) ± ( W L w L ) ( ϰ j ) , it has been derived that
| ( W L w L ) ( ϰ j ) | C N 1 ln N .
Case (c2): d q > 0 and d q + 1 = = d m = 0 for some q, 1 q m 1 . Since q + 1 = C m + 1 , the mesh is uniform in ( q , m + 1 ) , it follows that ϰ j + 1 ϰ j 1 C ϵ q + 1 N 1 μ 1 ln N , for ϰ j ( m , m + 1 ] . By applying the standard local truncation approach, which is based on Taylor expansions,
| ( L N ( W L w L ) ) i ( ϰ j ) | C ϵ i μ k = 1 q | w i , k L , ( 2 ) ( ϰ j 1 ) | + C ( ϰ j + 1 ϰ j 1 ) ϵ i k = q + 1 n | w i , k L , ( 3 ) ( ϰ j 1 ) | + C μ k = 1 q | w i , k L , ( 1 ) ( ϰ j 1 ) | + C ( ϰ j + 1 ϰ j 1 ) k = q + 1 n | w i , k L , ( 2 ) ( ϰ j 1 ) | .
Now, using Lemma 8.1, for i q ,
| ( L N ( W L w L ) ) i ( ϰ j ) | C N 1 μ 2 ln N k = q + 1 n ϵ k 1 B k l ( ϰ j 1 ) + C k = i q ϵ k 1 B k l ( ϰ j 1 )
and for i > q ,
| ( L N ( W L w L ) ) i ( ϰ j ) | C 1 N μ 2 ln N k = i n ϵ k 1 B k l ( ϰ j 1 ) + C ϵ i 1 B q l ( ϰ j 1 ) .
Now specify, for i q ,
ϕ i ( ϰ j ) = C 1 N ln N k = q + 1 n e 2 α μ H m + 1 ϵ k B k ( l , N ) ( ϰ j ) + C k = i q B k ( l , N ) ( ϰ j ) + C k = m + 1 n B k ( l , N ) ( k )
and for i > q ,
ϕ i ( ϰ j ) = C 1 N ln N k = i n e 2 α μ H m + 1 ϵ k B k ( l , N ) ( ϰ j ) + C B q ( l , N ) ( ϰ j ) + C k = m + 1 n B k ( l , N ) ( k ) .
Case (c3): d m > 0 . Substituting m for q in the arguments of the previous case (c2) yields the following and using ϰ j + 1 ϰ j 1 C ϵ m + 1 N μ 1 ln N , the estimates hold for ϰ j ( m , m + 1 ] . For i m ,
| ( L N ( W L w L ) ) i ( ϰ j ) | C N 1 μ 2 ln N k = m + 1 n ϵ k 1 B k l ( ϰ j 1 ) + C k = i m ϵ k 1 B k l ( ϰ j 1 )
and for i > m ,
| ( L N ( W L w L ) ) i ( ϰ j ) | C 1 N μ 2 ln N k = i n ϵ k 1 B k l ( ϰ j 1 ) + C ϵ i 1 B m l ( ϰ j 1 ) .
For i m , define
ϕ i ( x j ) = C 1 N ln N k = m + 1 n e 2 α μ H m + 1 ϵ k B k ( l , N ) ( ϰ j ) + C k = i m B k ( l , N ) ( ϰ j ) + C k = m + 1 n B k ( l , N ) ( k )
and for i > m ,
ϕ i ( x j ) = C 1 N ln N k = i n e 2 α μ H m + 1 ϵ k B k ( l , N ) ( ϰ j ) + C B m ( l , N ) ( ϰ j ) + C k = m + 1 n B k ( l , N ) ( k ) .
Case (d): There are three possible scenarios, Case (d1):  d 1 = = d n = 0 , Case (d2): d q > 0 and d q + 1 = = d n = 0 for some q, 1 q n 1 and Case (d3): d n > 0 . Case (d1): d 1 = = d n = 0 . The mesh is uniform over [ 0 , 1 ] and the result is from Lemma 11.5. Case (d2):  d q > 0 and d q + 1 = = d n = 0 for some q, 1 q n 1 . In this context based on the definition of n , it follows that ϰ j + 1 ϰ j 1 C ϵ q + 1 N 1 μ 1 ln N and utilizing analogous arguments to Case (c2), which lead to the estimates for ϰ j ( n , 1 ] . For i q ,
| ( L N ( W L w L ) ) i ( ϰ j ) | C N 1 μ 2 ln N k = q + 1 n ϵ k 1 B k l ( ϰ j 1 ) + C k = i q ϵ k 1 B k l ( ϰ j 1 )
and for i > q ,
| ( L N ( W L w L ) ) i ( ϰ j ) | C 1 N μ 2 ln N k = i n ϵ k 1 B k l ( ϰ j 1 ) + C ϵ i 1 B q l ( ϰ j 1 ) .
Now specifying, for i q ,
ϕ i ( ϰ j ) = C 1 N ln N k = q + 1 n e 2 α μ H n + 1 ϵ k B k ( l , N ) ( ϰ j ) + C k = i q B k ( l , N ) ( ϰ j )
and for i > q ,
ϕ i ( ϰ j ) = C 1 N ln N k = i n e 2 α μ H n + 1 ϵ k B k ( l , N ) ( ϰ j ) + C B q ( l , N ) ( ϰ j ) .
Case (d3): d n > 0 . let n = ϵ n μ α ln N , therefore, for ( n , 1 ] ,
| ( W i L w i L ) ( ϰ j ) | | W i L ( ϰ j ) | + | w i L ( ϰ j ) | C B n ( l , N ) ( ϰ j ) + C B n l ( ϰ j ) C B n ( l , N ) ( n ) + C B n l ( n ) C N 1 .
Thus, for each of the cases, the barrier function is constructed and using minimum principle, it has been derived that
| ( W L w L ) ( ϰ j ) | C N 1 ln N .
The proof of the lemma is complete.□
To determine estimate of error bound, the mesh functions are defined on Ω ¯ N
B i ( l , N ) ( ϰ j ) = k = 1 j 1 + γ α ϵ i h k 1 ,
with B i ( l , N ) ( ϰ 0 ) = 1 , for Ω N . For the case α μ 2 γ ϵ i , the error in the component w L is bounded.
Lemma 11.7. 
Let w L satisfy (10), W L satisfy (41). Then,
W L w L C N 1 ln N .
Proof. 
Assume that d q = 0 , for q = 1 , 2 , , n , the local truncation error is given by
| L N ( W L w L ) | C ( ϰ j + 1 ϰ j 1 ) ϵ i w i L , D + μ w i L , D
where D = [ ϰ j 1 , ϰ j + 1 ] . Since d q = 0 , the mesh Ω ¯ N is uniform, then the value of h = N 1 . In this instance, ϵ k 1 / 2 C ln N
| ( L N ( W L w L ) ) i ( x j ) | C ( ϰ j + 1 ϰ j 1 ) k = 1 i 1 ϵ k 1 / 2 B k l ( ϰ j 1 ) + k = i n ϵ k 1 / 2 B k l ( ϰ j 1 ) C N 1 ln N .
This is demonstrated for each mesh point ϰ j ( 0 , 1 ) by partitioning ( 0 , 1 ) into small subintervals ( a ) ( 0 , 1 ) , ( b ) [ 1 , 2 ) , ( c ) [ m , m + 1 ) for some m , 2 m n 1 , ( d ) [ n , 1 ) . In each case, the local truncation error is estimated and a corresponding barrier function is considered. Lastly, the desired estimate is derived by utilizing barrier functions.
Case (a): ϰ j ( 0 , 1 )
Clearly ϰ j + 1 ϰ j 1 C ϵ 1 N 1 ln N . Using standard local truncation error analysis applied in Taylor expansions, the estimates hold for ϰ j ( 0 , 1 ) and 1 i n ,
| ( L N ( W L w L ) ) i ( ϰ j ) | C N 1 ϵ 1 ln N k = 1 i 1 ϵ k 1 / 2 B k l ( ϰ j 1 ) + k = i n ϵ k 1 / 2 B k l ( ϰ j 1 ) C N 1 ln N .
Case (b): ϰ j [ 1 , 2 ) .
There are two possible cases Case (b1):  d 1 = 0 and Case (b2): d 1 > 0 . Case (b1):  d 1 = 0 . Since the mesh is uniform over the interval ( 0 , 2 ) . In this case, it follows that ϰ j + 1 x j 1 C ϵ 1 N 1 ln N , for ϰ j [ 1 , 2 ) . Then,
| ( L N ( W L w L ) ) i ( ϰ j ) | C N 1 ϵ 1 ln N k = 1 i 1 ϵ k 1 / 2 B k l ( ϰ j 1 ) + k = i n ϵ k 1 / 2 B k l ( ϰ j 1 ) C N 1 ln N .
Case (b2): d 1 > 0 . For this case, ϰ j + 1 ϰ j 1 C ϵ 2 N 1 μ 1 ln N , and Therefore, for ϰ j [ 1 , 2 ) , by the local truncation utilized in Taylor expansions, h ¯ = ϰ j + 1 ϰ j 1 then, using Lemma 8.2
| ( L N ( W L w L ) ) i ( ϰ j ) | C N 1 ln N .
Case (c): ϰ j [ m , m + 1 ) .
The three possibilities Case (c1): d 1 = d 2 = = d m = 0 , Case (c2): d q > 0 and d q + 1 = = d m = 0 for some q, 1 q m 1 and Case (c3): d m > 0 . Case (c1):  d 1 = d 2 = = d m = 0 , since 1 = C m + 1 and the mesh is uniform in ( 0 , m + 1 ) . In this case, it follows that for ϰ j ( m , m + 1 ] , ϰ j + 1 ϰ j 1 C ϵ 1 N 1 ln N and hence
| ( L N ( W L w L ) ) i ( ϰ j ) | C N 1 ϵ 1 ln N k = 1 i 1 ϵ k 1 / 2 B k l 1 ( ϰ j 1 ) + k = i n ϵ k 1 / 2 B k l ( ϰ j 1 ) C N 1 ln N .
Case (c2): d q > 0 and d q + 1 = = d m = 0 for some q, 1 q m 1 . Since q + 1 = C m + 1 , the mesh is uniform in ( q , m + 1 ) , it follows that ϰ j + 1 ϰ j 1 C ϵ q + 1 N 1 μ 1 ln N , for ϰ j ( m , m + 1 ] . By utilizing the method of calculating local truncation error and analyzed using Taylor expansions, as given in Lemma 8.2
| ( L N ( W L w L ) ) i ( ϰ j ) | C N 1 ln N .
Case (c3): d m > 0 . Substituting m by q in the arguments of the previous case (c2) yields the following and using ϰ j + 1 ϰ j 1 C ϵ m + 1 N μ 1 ln N , the following hold for ϰ j ( m , m + 1 ] ,
| ( L N ( W L w L ) ) i ( ϰ j ) | C N 1 ϵ m + 1 ln N k = 1 i 1 ϵ k 1 / 2 B k l ( ϰ ) + k = i n ϵ k 1 / 2 B k l ( ϰ ) C N 1 ln N .
Case (d):
There are three possible scenarios,Case (d1):  d 1 = = d n = 0 , Case (d2): d q > 0 and d q + 1 = = d n = 0 for some q, 1 q n 1 and Case (d3): d n > 0 . Case (d1): d 1 = = d n = 0 , the mesh is uniform over [ 0 , 1 ] and is established above. Case (d2):  d q > 0 and d q + 1 = = d n = 0 for some q, 1 q n 1 . In this context, based on the definition of n , it follows that ϰ j + 1 ϰ j 1 C ϵ q + 1 N 1 ln N and utilizing analogous arguments to Case (c2), which lead to the estimates for ϰ j ( n , 1 ] . Case (d3): d n > 0 . Let n = ϵ n γ α ln N . Therefore, on ( n , 1 ] , Therefore,
| ( W L w L ) ( ϰ j ) | C N 1 ln N .
The proof of the lemma is complete. □
To establish the bounds on the error | ( W R w R ) ( ϰ j ) | , the mesh function is defined over Ω ¯ N
B ( r , N ) ( ϰ j ) = i = j + 1 N 1 + γ h i 2 μ 1 , B ( r , N ) ( ϰ N ) = 1 .
Lemma 11.8. 
For the case α μ 2 γ ϵ j , the layer components W i R , 1 i n satisfy the following bounds on Ω ¯ N ,
| W i R ( ϰ j ) | C B n ( r , N ) ( ϰ j )
Proof. 
This result can be demonstrated by defining the mesh functions Ψ R ( ϰ j ) = C B ( r , N ) ( ϰ j ) ± W R . Also, since W R ( 0 ) B ( r 1 , N ) ( ϰ 0 ) then, W R ( 0 ) e γ μ . Hence, Ψ R ( 0 ) 0 . Also, for an appropriate choice of C, it follows that Ψ R ( ϰ N ) 0 . Further, L N Ψ R ( ϰ j ) 0 . Hence, by the minimum principle, Ψ R ( ϰ j ) 0 for 0 j N . Hence, it can be said that | W i R ( ϰ j ) | C B ( r , N ) ( ϰ j ) on Ω ¯ N . The proof of the lemma is complete. □
Lemma 11.9. 
At each point ϰ j Ω ¯ N , | ( W R w R ) ( ϰ j ) | C N 1 ln N , for the case α μ 2 γ ϵ j .
Proof. 
The local truncation error is given by
| L N ( W R w R ) ( ϰ j ) | C ( ϰ j + 1 ϰ j 1 ) ϵ i w i R , D + μ w i R , D
where D = [ ϰ j 1 , ϰ j + 1 ] , μ 1 C ln N . Consider the case d 1 = 0 then, ϰ j + 1 ϰ j 1 C μ N 1 ln N
| L N ( W R w R ) ( ϰ j ) | C N 1 ln N .
Consider the case d 1 > 0 , x j ( 0 , 1 σ 1 ] . Hence,
| ( W R w R ) i ( ϰ j ) | | W i R ( ϰ j ) | + | w i R ( ϰ j ) | C B ( r , N ) ( ϰ j ) + C B i r ( ϰ j ) C B ( r , N ) ( σ 1 ) + C B i r ( σ 1 ) C N 1 .
Examine the mesh region ( 1 σ 1 , 1 ] . It is known that h ¯ = ϰ j + 1 ϰ j 1 , then, ϰ j + 1 ϰ j 1 C μ N 1 ln N
| L N ( W R w R ) ( ϰ j ) | C N 1 ln N .
The proof of the lemma is complete. □
Theorem 11.1. 
Let u be the solution of (1) and U be the solution of (39). Then, for each mesh point ϰ j Ω ¯ N ,
U u Ω ¯ N C N 1 ln N ,
for both of the cases α μ 2 γ ϵ i and α μ 2 γ ϵ j .
Proof. The proof follows Lemmas 11.3, 11.5, 11.7 and 11.9.

12. Numerical Illustration

12.1. Example

The solution to the following system on the interval ( 0 , 1 ) is numerically approximated and applying the proposed method to both cases α μ 2 γ ϵ i and α μ 2 γ ϵ j .
E u ( ϰ ) + μ A ( ϰ ) u ( ϰ ) B ( ϰ ) u ( ϰ ) = f ( ϰ ) for all ϰ Ω = ( 0 , 1 ) ,
where, A ( ϰ ) = d i a g ( 0.5 , 0.5 , 0.5 ) , f ( ϰ ) = ( 1.0 , 2.0 , 1.5 ) T , B ( ϰ ) = 6.0 1.0 1.0 1.0 6.0 1.0 1.0 1.0 6.0 .
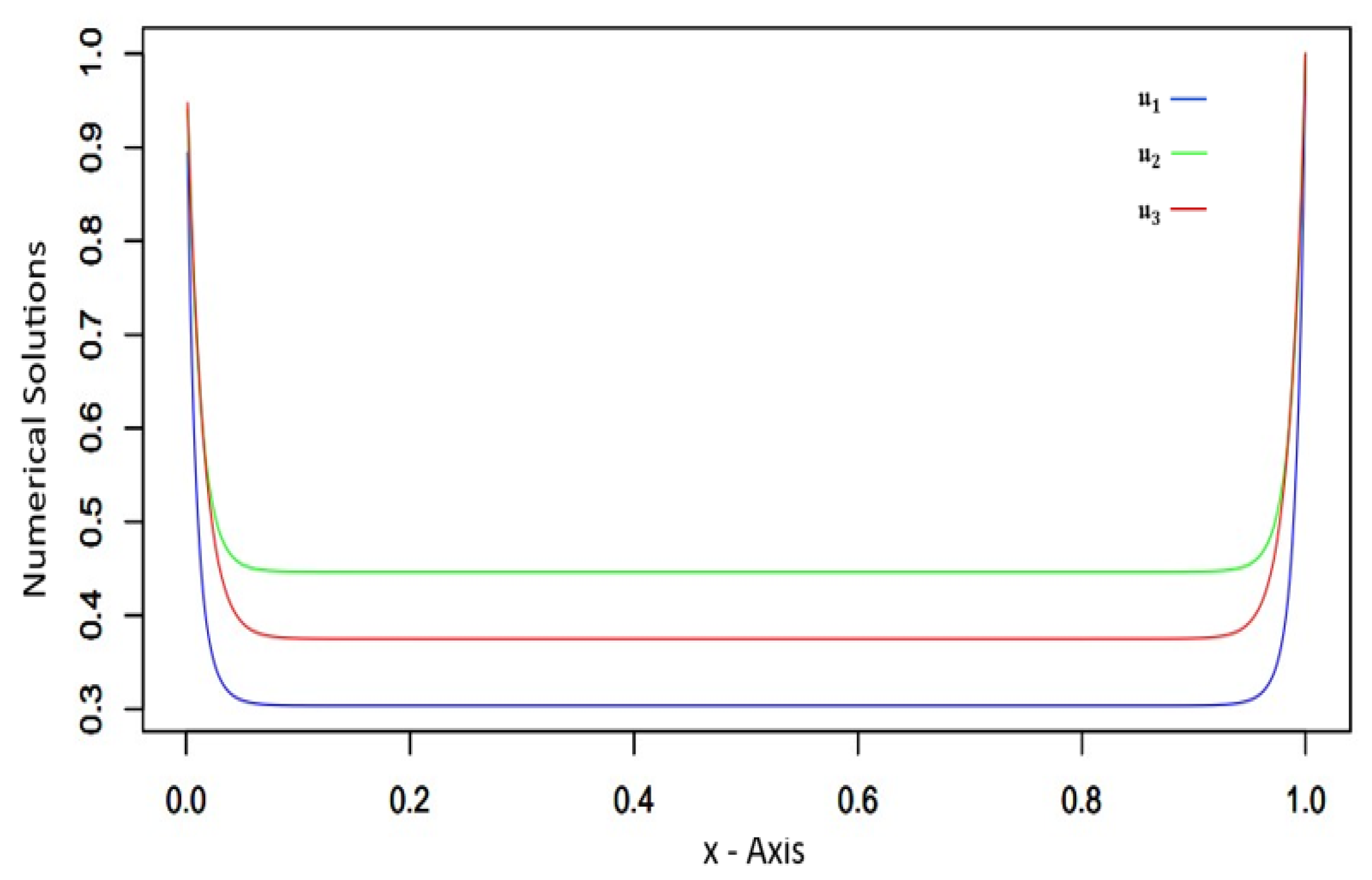
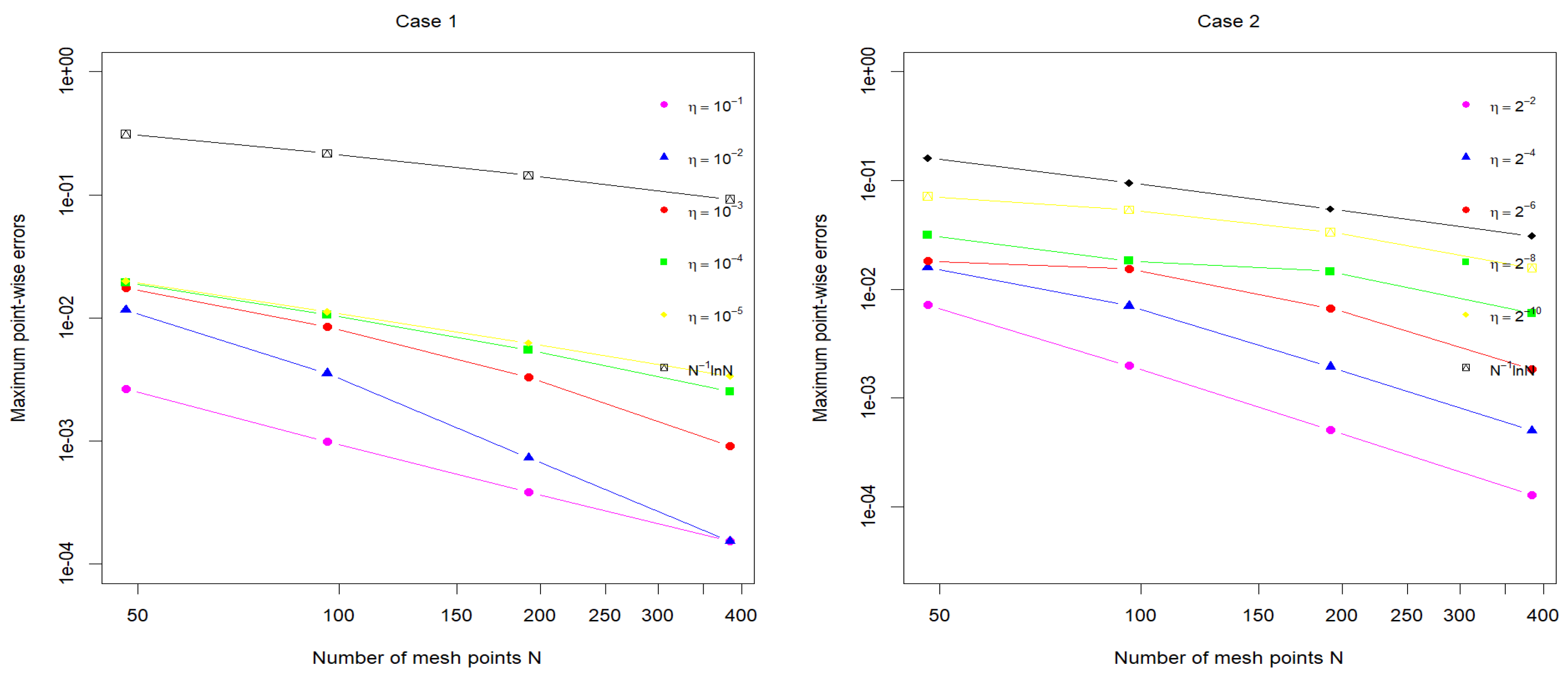
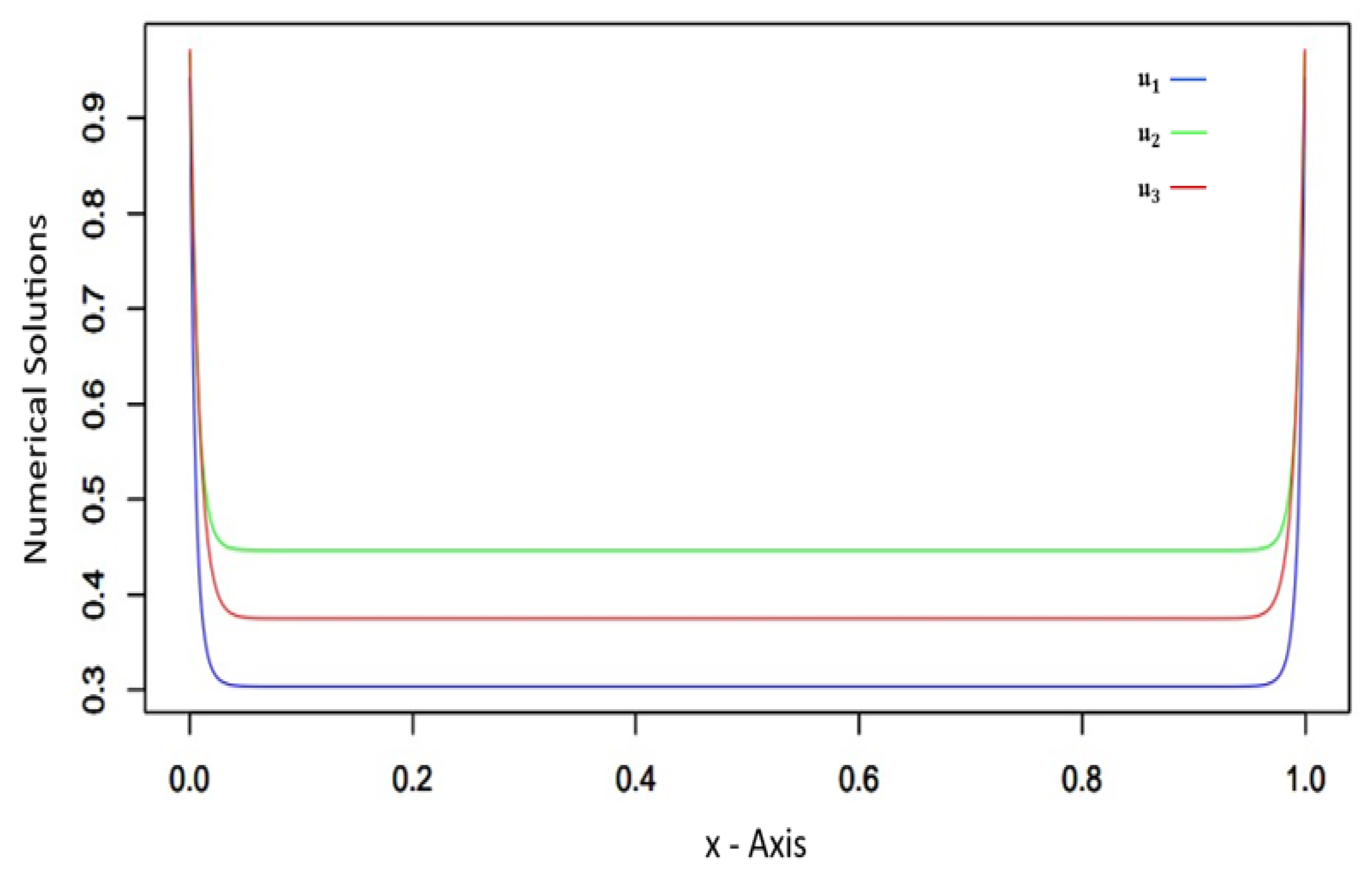
To evaluate the order of convergence, maximum pointwise errors and error constants, a modified two-mesh algorithm was utilized. The results are summarized in Table 1 and Table 2. As the parameter η decreases, the error stabilizes for each N, the maximum pointwise error D N decreases with increasing N and the observed order of convergence p N improves, confirming the theoretical predictions. Figure 1 and Figure 2 display the solution profiles for the n- system over the interval ( 0 , 1 ) . In Figure 1, corresponding to the condition μ 2 ϵ i γ α , boundary layers are observed for the components of u i ( i = 1 , 2 , , n ) near ϰ = 0 and ϰ = 1 , consistent with theoretical expectations. On the other hand, Figure 2 illustrates the case where μ 2 ϵ j γ α . Here, layers are observed for u i near ϰ = 0 , while boundary layers emerge near ϰ = 1 . The log-log plots are used to visualize the relationship between the number of mesh points N and the maximum pointwise errors, providing a clear representation of the convergence behavior. Figure 3 display the maximum pointwise errors for different η values for the cases 1 and 2. These plots illustrate how the error decreases as N increases, reinforcing the theoretical predictions and highlighting the influence of η and the accuracy of the numerical method.

13. Conclusions

This paper presented a robust fitted mesh finite difference method for solving an system of two-parameter n singularly perturbed differential equations of the convection-reaction-diffusion type. Using a piecewise uniform Shishkin mesh, our approach successfully captures the intricate behavior introduced by small perturbation parameters which are typically challenging for conventional numerical methods. Our theoretical analysis establishes that the proposed scheme attains nearly first-order convergence in the maximum norm, uniformly with respect to both parameters. Numerical experiments confirm the method’s robustness and accuracy, demonstrating its capability to resolve boundary layers with precision across a system of equations. This work contributes to the numerical analysis of SPDEs by highlighting the importance of tailored methods for systems with small parameter effects. Future work can extend these results to enhance accuracy and efficiency in even more challenging scenarios of SPDEs.

References

  1. Bhatti, M. M. , Alamri, S. Z., Ellahi, R., & others. (2021). Intra - uterine particle - fluid motion through a compliant asymmetric tapered channel with heat transfer. Journal of Thermal Analysis and Calorimetry, 144, 2259–2267. [CrossRef]
  2. Glizer, V. (2003). Asymptotic analysis and solution of a finite-horizon H control problem for singularly-perturbed linear systems with small state delay. Journal of Optimization Theory and Applications, 117, 296–325. [CrossRef]
  3. Miller, J. J. H. , O’Riordan, E., & Shishkin, G. I. (2012). Fitted numerical methods for singular perturbation problems: error estimates in the maximum norm for linear problems in one and two dimensions, World Scientific.
  4. Doolan, E. P. , Miller, J. J. H., & Schilders, W. H. A. (1980). Uniform numerical methods for problems with initial and boundary layers, Boole Press.
  5. Cen, Z. (2005). Parameter-uniform finite difference scheme for a system of coupled singularly perturbed convection - diffusion equations. International Journal of Computer Mathematics, 82(2), 177–192. [CrossRef]
  6. Gracia, J. L. , O’Riordan, E., & Pickett, M. L. (2006). A parameter robust second order numerical method for a singularly perturbed two-parameter problem. Applied Numerical Mathematics, 56(7), 962–980. [CrossRef]
  7. O’Malley, R. E. (1967). Two-parameter singular perturbation problems for second-order equations. Journal of Mathematics and Mechanics, 16(10), 1143–1164.
  8. O’Riordan, E. , Pickett, M. L., & Shishkin, G. I. (2003). Singularly perturbed problems modeling reaction-convection-diffusion processes. Computational Methods in Applied Mathematics, 3(3), 424–442.
  9. Selvaraj, D. , & Mathiyazhagan, J. P. (2021). A parameter uniform convergence for a system of two singularly perturbed initial value problems with different perturbation parameters and Robin initial conditions. Malaya Journal of Matematik 9(01), 498 - 505.
  10. Kalaiselvan, S. S. , Miller, J. J. H., & Sigamani, V. (2019). A parameter uniform numerical method for a singularly perturbed two-parameter delay differential equation. Applied Numerical Mathematics, 145, 90-110. [CrossRef]
  11. Nagarajan, S. (2022). A parameter robust fitted mesh finite difference method for a system of two reaction-convection-diffusion equations. Applied Numerical Mathematics, 179, 87-104. [CrossRef]
  12. Arthur, J. , Chatzarakis, G. E., Panetsos, S. L., & Mathiyazhagan, J. P. (2025). A robust-fitted-mesh-based finite difference approach for solving a system of singularly perturbed convection–diffusion delay differential equations with two parameters. Symmetry, 17(1), 68. [CrossRef]
  13. Mathiyazhagan, P. , Sigamani, V., & Miller, J. J. H. (2010). Second order parameter-uniform convergence for a finite difference method for a singularly perturbed linear reaction-diffusion system. Mathematical Communications, 15(2), 587 - 612.
  14. Farrell, P. , Hegarty, A., Miller, J. M., O’Riordan, E., & Shishkin, G. I. (2000). Robust computational techniques for boundary layers, 1st ed. Chapman and Hall/CRC. [CrossRef]
Figure 1. Graphical representation of Numerical solutions for the case: α μ 2 γ ϵ i .
Figure 1. Graphical representation of Numerical solutions for the case: α μ 2 γ ϵ i .
Preprints 148996 g001
Figure 2. Graphical representation of Numerical solutions for the case: α μ 2 γ ϵ j .
Figure 2. Graphical representation of Numerical solutions for the case: α μ 2 γ ϵ j .
Preprints 148996 g002
Figure 3. Graphical representation of maximum pointwise errors for different η values for the cases 1 and 2.
Figure 3. Graphical representation of maximum pointwise errors for different η values for the cases 1 and 2.
Preprints 148996 g003
Table 1. Values of D ε N , D N , p N , p * and C p * N when ϵ 1 = η 128 , ϵ 2 = η 64 , ϵ 3 = η 32 , μ = η 16 for α μ 2 γ ϵ i
Table 1. Values of D ε N , D N , p N , p * and C p * N when ϵ 1 = η 128 , ϵ 2 = η 64 , ϵ 3 = η 32 , μ = η 16 for α μ 2 γ ϵ i
η Number of mesh points N
48 96 192 384
0.1E+00 0.2636E-02 0.9854E-03 0.3794E-03 0.1521E-03
0.1E-01 0.1153E-01 0.3519E-02 0.7269E-03 0.1522E-03
0.1E-02 0.1746E-01 0.8404E-02 0.3281E-02 0.8999E-03
0.1E-03 0.1936E-01 0.1056E-01 0.5469E-02 0.2499E-02
0.1E-04 0.1993E-01 0.1122E-01 0.6235E-02 0.3358E-02
D N 0.1993E-01 0.1122E-01 0.6235E-02 0.3358E-02
p N 0.8286E+00 0.8481E+00 0.8928E+00
C p N 0.1128E+01 0.1128E+01 0.1112E+01 0.1064E+01
The order of convergence p * = 0.8286 E + 00
Computed error constant, C p * N = 0.1128 E + 01
Table 2. Values of D ε N , D N , p N , p * and C p * N when ϵ 1 = η 64 , ϵ 2 = η 32 , ϵ 3 = η 16 , μ = η 2 for α μ 2 γ ϵ j
Table 2. Values of D ε N , D N , p N , p * and C p * N when ϵ 1 = η 64 , ϵ 2 = η 32 , ϵ 3 = η 16 , μ = η 2 for α μ 2 γ ϵ j
η Number of mesh points N
48 96 192 384
0.25E+00 0.7182E-02 0.1979E-02 0.5088E-03 0.1289E-03
0.625E-01 0.1587E-01 0.7028E-02 0.1937E-02 0.4987E-03
0.156E-01 0.1812E-01 0.1546E-01 0.6691E-02 0.1848E-02
0.391E-02 0.3157E-01 0.1831E-01 0.1459E-01 0.6001E-02
0.977E-03 0.7139E-01 0.5397E-01 0.3353E-01 0.1574E-01
D N 0.7139E-01 0.5397E-01 0.3353E-01 0.1574E-01
p N 0.4034E+00 0.6867E+00 0.1090E+01
C p N 0.1395E+01 0.1395E+01 0.1146E+01 0.7121E+00
The order of convergence p * = 0.4034 E + 00
Computed error constant, C p * N = 0.1395 E + 01
Disclaimer/Publisher’s Note: The statements, opinions and data contained in all publications are solely those of the individual author(s) and contributor(s) and not of MDPI and/or the editor(s). MDPI and/or the editor(s) disclaim responsibility for any injury to people or property resulting from any ideas, methods, instructions or products referred to in the content.
Copyright: This open access article is published under a Creative Commons CC BY 4.0 license, which permit the free download, distribution, and reuse, provided that the author and preprint are cited in any reuse.
Prerpints.org logo

Preprints.org is a free preprint server supported by MDPI in Basel, Switzerland.

Subscribe

Disclaimer

Terms of Use

Privacy Policy

Privacy Settings

© 2025 MDPI (Basel, Switzerland) unless otherwise stated