Submitted:
27 December 2024
Posted:
30 December 2024
You are already at the latest version
Abstract
Keywords:
MSC: 94A14
1. Introduction
2. Related Works
2.1. Golden Angle Modulation on
2.2. Complex Geometric Properties of Open Symmetrized Bidisc
3. GAM on the Symmetrized Bidisc
3.1. Bd-GAM1
3.2. Bd-GAM2
3.3. MI Optimization Problem of Probabilistic- and Geometric- Bd-GAM: Bd-GAM1/2
4. Numerical Results and Discussions
4.1. The Complex Geometric Properties Analysis of Bd-GAM1/2
4.2. Magnitude Distribution of Bd-GAM1
4.3. Kobayashi Pseudo-Distance of Adjacent Constellation Points
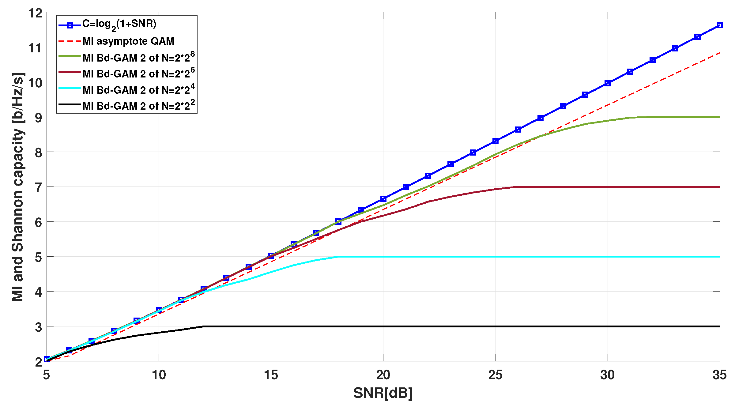
4.4. Mutual Information Performance for Bd-GAM
A. Bd-GAM1
B. Bd-GAM2
5. Conclusions
Author Contributions
Funding
Conflicts of Interest
References
- Thomas, C. , Weidner, M.; Durrani, S. Digital amplitude-phase keying with M-ary alphabets. IEEE Transactions on Communications 1974, 22, 168–180. [Google Scholar] [CrossRef]
- Hanzo, L.L.; Ng, S.X.; Keller, T.; Webb, W. Star QAM Schemes for Rayleigh fading channels. Quadrature Amplitude Modulation: From Basics to Adaptive Trellis-Coded, Turbo-Equalised and Space-Time Coded OFDM, CDMA and MC-CDMA Systems 2004, 307–335. [Google Scholar]
- Forney, G.D.; Ungerboeck; G. Modulation and coding for linear Gaussian channels. IEEE Transactions on Information Theory 1998, 44, 2384–180. [Google Scholar] [CrossRef]
- Betts. W.; Calderbank, A.R.; Laroian R. Performance of non-uniform constellations on the Gaussian channel. IEEE Transactions on Information Theory 1994, 40, 1633–1638. [Google Scholar] [CrossRef]
- Sommer, D.; Fettweis, G.P. Signal shaping by non-uniform QAM for AWGN channels and applications using turbo coding. In Proc. International ITG Conference source and channel coding 2000, 81–86. [Google Scholar]
- Barsoum, M.F.; Jones, C.; Fitz, M. Constellation design via capacity maximization. In 2007 IEEE International Symposium on Information Theory 2007, 1821–1825. [Google Scholar]
- Forney, G.; Gallager, R.; Lang, G.; Longstaff, F.; Qureshi, S. Efficient modulation for band-limited channels. IEEE Journal of Selected Topics in Signal Processing 1984, 2, 632–647. [Google Scholar] [CrossRef]
- Calderbank, A.R.; Ozarow, L.H. Nonequiprobable signaling on the Gaussian channels. IEEE Transactions on Information Theory 1990, 36, 726–740. [Google Scholar] [CrossRef]
- Kschischang, F.R.; Pasupathy, S. Optimal non-uniform signaling for Gaussian channels. IEEE Transactions on Information Theory 1993, 39, 913–929. [Google Scholar] [CrossRef]
- Divsalar, D.; Simon, M.; Yuen, J. Trellis coding with asymmetric modulations. IEEE Transactions on Communications 1987, 35, 130–141. [Google Scholar] [CrossRef]
- Khandani, A.K.; Kaba, P. Shaping multidimensional signal spaces. IEEE Transactions on Information Theory 1993, 39, 1799–1808. [Google Scholar] [CrossRef]
- Larsson, P. Golden angle modulation. IEEE Wireless Communications Letters 2018, 7, 98–101. [Google Scholar] [CrossRef]
- Larsson, P.; Rasmussen, L.K.; Skoglund, M. Golden Angle Modulation: Approaching the AWGN Capacity. arXiv [Online] 2018, 1–5.
- Larsson, P. Golden angle modulation: Geometric- and probabilistic-shaping. arXiv 2017, 1–5. [Google Scholar]
- Vogel, H. A better way to construct the sunflower head. Mathematical Biosciences 1979, 44, 179–189. [Google Scholar] [CrossRef]
- Greene, R.E.; Kim, K.T.; Krantz, S.G. The Geometry of Complex Domains. Progress in Mathematics, Birkhäuser, Boston 2011, 291. [Google Scholar]
- Agler, J.; Yeh, F.B.; Young, N.J. Realization of functions into the symmetrized bidisc. Operator Theory: Advances and Applications 2003, 143, 1–37. [Google Scholar] [CrossRef]
- Mheich, Z.; Wen, L.; Xiao, P.; Maaref, A. Design of SCMA Codebooks Based on Golden Angle Modulation. IEEE Transactions on Vehicular Technology 2019, 68, 1501–1509. [Google Scholar] [CrossRef]
- Larsson, P.; Rasmussen, L.K.; Skoglund, M. The Golden Quantizer: The Complex Gaussian Random Variable Case. IEEE Wireless Communications Letters 2018, 143, 312–315. [Google Scholar] [CrossRef]
- Costara, C. The symmetrized bidisc and Lempert’s theorem. Bulletin of the London Mathematical Society 2004, 36, 656–662. [Google Scholar] [CrossRef]
- Dineen, S. The Schwarz lemma. Oxford University Press 1989. [Google Scholar]
- Lempert, L. Lame´trique de Kobayashi et la repre´sentation des domaines sur la boule. Bull. Soc. Math. France 2018, 109, 427–474. [Google Scholar]












| Modulation format | Entropy | PAPR () |
|---|---|---|
| Bd-GAM1 prop. | PAPR dB ≃ 1 dB | |
| Bd-GAM2 prop. | = | |
| Disc-GAM [12] | PAPR dB | |
| Geometric-bell-GAM [12] | PAPR | |
| Generalized Disc-GAM [14] | PAPR 2 dB |
Disclaimer/Publisher’s Note: The statements, opinions and data contained in all publications are solely those of the individual author(s) and contributor(s) and not of MDPI and/or the editor(s). MDPI and/or the editor(s) disclaim responsibility for any injury to people or property resulting from any ideas, methods, instructions or products referred to in the content. |
© 2024 by the authors. Licensee MDPI, Basel, Switzerland. This article is an open access article distributed under the terms and conditions of the Creative Commons Attribution (CC BY) license (http://creativecommons.org/licenses/by/4.0/).
