Preprint
Article

This version is not peer-reviewed.

MXene Anchored with Platinum Cobalt Alloy as an Efficient and Stable Electrocatalyst for Hydrogen Evolution

A peer-reviewed article of this preprint also exists.

Submitted:

28 October 2024

Posted:

29 October 2024

You are already at the latest version

Abstract
It is a great challenge to prepare efficient and stable electrocatalysts for hydrogen evolution (HER) using non-precious metals. In this study, a series of PtCo/Ti3C2Tx-Y (Y: 16, 32, and 320, Y indicates the quality of Co(NO3)2) catalyst was synthesized by loading PtCo alloy on Ti3C2Tx. The PtCo/Ti3C2Tx-32 exhibited the best HER performance with low overpotentials (36 and 101 mV) to reach a current density of 10 mA cm−2, and small Tafel slopes (66.37 and 105.17 mV dec-1) in 0.5 mol L-1 H2SO4 and 1 mol L-1 KOH solution. The excellent HER activity and stability of PtCo/Ti3C2Tx-32 can be attributed as follows: Ti3C2Tx has a unique two-dimensional structure, which can provide a large number of attachment sites for the PtCo alloy, thus exposing more active sites; on the other hand, it can provide a fast and efficient conductive network for electron transport during electrocatalytic processes, thus enhancing the connectivity between electrolyte and catalyst. PtCo alloy makes the PtCo/Ti3C2Tx catalyst more hydrophilic, which can accelerate the release rate of bubbles. The DFT calculation results showed that the energy barrier of HER is reduced because the charge around Pt is redistributed by Co after alloying Pt and Co, so that PtCo/Ti3C2Tx catalyst has a suitable ΔGH* value. This study can be expected to provide some references for the design and synthesis of Ti3C2Tx supported alloy electrocatalysts with high activity and stability for HER.
Keywords: 
;  ;  ;  

1. Introduction

In the world, energy crisis and environmental pollution are becoming increasingly serious. To address the above issues, the development of clean energy conversion systems is essential to meet the growing global energy demand and achieve zero CO2 emissions. Hydrogen is a kind of clean energy carrier and has a broad development prospect. At present, the main green hydrogen production technology is electrochemical water hydrolysis, but it is less efficient due to the high cost [1,2]. Electrochemical water splitting includes oxygen evolution reaction (OER) and hydrogen evolution reaction (HER). The main product of HER is hydrogen, so it is an important step in electrochemical water splitting [3,4].
However, large-scale hydrogen production through HER has not yet been realized, and the key is to develop efficient, low overpotential and low-cost electrocatalysts. The electrocatalytic activity of hydrogen evolution electrode mainly depends on its Gibbs free energy value of hydrogen adsorption (ΔGH*), which is too high or too low, resulting in the difficulty of hydrogen adsorption or desorption. Since the ΔGH* value of Pt-based materials is almost zero, it is currently recognized as the electrocatalyst with the best HER performance. However, due to limited reserves of Pt and its high price, Pt-based catalysts are not suitable for commercial hydrogen production [5]. Therefore, the development of efficient and low-cost HER electrocatalysts is an urgent task.
At present, the development of HER electrocatalysts based on transition metals (such as Fe, Co, Ni, etc.) has attracted wide attention [6]. Compared with the disadvantages of precious metals, such as small reserves and high market prices, transition metals have abundant reserves and cost advantages, and are increasingly recognized globally. In recent years, it has found that alloying one or two transition metals with precious metals is an effective strategy to develop efficient and stable electrocatalysts. Wang et al. synthesized a series of Ni-M (M=Ti, V, Cu, etc.) bimetallic alloys and used them as HER electrocatalysts. It was found that NiCu alloy had the best HER performance, and the overpotentials were 23 and 69 mV when the current densities were 10 mA cm-2 and 100 mA cm-2 [7]. Therefore, if the transition metal is used to form an alloy with Pt, it can be expected that the utilization rate and catalytic activity of Pt can also be improved because the transition metal can regulate the charge distribution and chemical bond strength of Pt.
The introduction of suitable support to anchor Pt-based active species is also a feasible way to improve its utilization efficiency [8]. At present, it has been reported that MXene (Ti3C2Tx) is suitable for supporting alloys to synthesize efficient HER catalysts [9,10,11]. Ti3C2Tx is the general term for a series of novel two-dimensional (2D) transition metal carbides and carbon-nitride materials with graphene-like structures. Wu et al. Synthesized an electrocatalyst Pt/Ti3C2Tx with HER performance comparable to that of commercial Pt/C by anchoring sub-nanometer platinum clusters on 3D crumpled Ti3C2Tx. It can reach a current density of 10 mA cm−2 at a low overpotential of 34 mV. It also has a small Tafel slope (29.7 mV dec−1) and a superior mass activity (1847 mA mgPt−1). The high HER performance of Pt/Ti3C2Tx can be attributed to the charge transfer of Pt clusters to Ti3C2Tx, which weakened the adsorption of hydrogen [12].
This study attempts to synthesize an electrocatalyst PtCo/Ti3C2Tx with high HER performance through the synergistic action between Ti3C2Tx (carrier) and PtCo alloy (active component). The synergistic action path is as follows: Ti3C2Tx are prone to stack due to the influence of van der Waals forces, which will result in the masking of catalytic active sites. However, as the PtCo alloy enters the interior of Ti3C2Tx, it can provide structural support for Ti3C2Tx, thus preventing the accumulation of Ti3C2Tx. Meanwhile, Ti3C2Tx can enhance the interface electron/charge transfer effect between the surface of hydrogen evolution electrode and the electrolyte. Furthermore, the structure, morphology, crystal phase and elemental valence of the obtained catalyst were analyzed by various characterization methods, and their activity and stability of them during electrocatalysis of HER were studied.

2. Experiment

2.1. Reagents

Reagents: Ti3AlC2 (analytical grade, Zhejiang Yamei Nano Technology Co., Ltd.), HF (analytical grade, Shanghai Aladdin Technology Co., Ltd.), Co(NO3)2·6H2O, H2PtCl6·6H2O and H2SO4, KOH were all analytically pure grade reagents and were purchased from Sinopharm Chemical Reagent Co., Ltd.

2.2. Catalyst Synthesis

Ti3C2Tx preparation. Ti3C2Tx was prepared according to the method reported in the literature [10]. The details were as follows: first, 20 mL of 48% HF aqueous solution was transferred to a 200 mL teflon beaker. Subsequently, 1.00g Ti3AlC2 powder was slowly added to the above-mentioned beaker within 30 min and was electromagnetically stirred for 24 h at 155℃ and 150 rpm. After that, the obtained solution was centrifuged for 10 min at 6400 rpm to obtain precipitation and supernatant (including the etched Al layers and HF solution), respectively. The resulting sediment was then repeatedly cleaned with deionized water until the pH of the dispersion was close to 6. Finally, the obtained powde was dried in a vacuum oven at 60°C for 24 h, and the obtained powder was identied as Ti3C2Tx.
PtCo/Ti3C2Tx preparation. The details are as follows: first, three parts of Ti3C2Tx, each weighing 0.25g, were placed in three beakers filled with 25 mL deionized water, ultrasonic treatment with ice water bath for 2 to 3 h, and transferred to three round-bottom flasks. Second, 16.00 mg, 32.00 mg and 320.00 mg of Co(NO3)2 were added to the above Ti3C2Tx solution, and electromagnetic stirring was performed at 800 rpm and 25°C for 30 min. After standing for 3h, the solution became clear and stratified, and Co/Ti3C2Tx solution was obtained. After that, 6.64 mg H2PtCl6·6H2O was placed in the obtained Co/Ti3C2Tx solution and subjected to electromagnetic agitation for 30 min at 800 rpm and 25℃. The precipitate and supernatant were obtained by standing in the ice bath for 12 h. The resulting sediment was dried in a vacuum oven for 8 h to obtain a black flake solid. The resulting black solid was dried in a vacuum oven at 60°C for 8 h and then ground into powder. Finally, the powder was placed in a Muffle furnace and reduced by a mixture of 10% hydrogen and 90% nitrogen. After 2h reduction at 400℃, PtCo/Ti3C2Tx was obtained. According to the quality of Co(NO3)2 used in the preparation of PtCo/Ti3C2Tx catalyst, the obtained catalysts were named PtCo/Ti3C2Tx-16, PtCo/Ti3C2Tx-32 and PtCo/Ti3C2Tx-320, respectively. The synthesis route of PtCo/Ti3C2Tx catalyst was shown in Figure 1.
The preparation process of Pt/Ti3C2Tx and Co/Ti3C2Tx were the same as PtCo/Ti3C2Tx except that Co or Pt was not added. During the preparation of Pt/Ti3C2Tx, 3.32 mg, 6.64 mg and 13.28 mg H2PtCl6·6H2O were added to the solution containing 0.3 g Ti3C2Tx, respectively. Depending on the quality of H2PtCl6·6H2O, the obtained catalysts were named Pt/Ti3C2Tx-3.32, Pt/Ti3C2Tx-6.64 and Pt/Ti3C2Tx-13.28, respectively. During the preparation of Co/Ti3C2Tx, 32.00 mg of Co(NO3)2 was added to the Ti3C2Tx solution, and the obtained catalyst was named Co/Ti3C2Tx-32 according to the quality of Co(NO3)2.

2.3. Catalyst Characterization

The surface morphologies and chemical compositions of resulting catalysts were conducted by scanning electron microscope (SEM) (MLA650F, FEI Company, American) equipped with an energy dispersive X-ray spectroscopy (EDS, Quantax 400, Bruker, Germany) with an accelerating voltage of 20 kV. The crystalline phases of resulting catalyst were analyzed by X-ray diffraction (XRD) (PANalytical, Empyean, Netherlands) with Cu Kα (λ=0.15418 nm) radiation under 40 kV, 40 mA over 2θ degree from 10° and 80°. The morphology of resulting catalysts were characterized by transmission electron microscope (TEM) (Tecnai G2 20, FEI, American) with an accelerating voltage of 200 kV, point resolution of 0.25 nm and line resolution of 0.102 nm. The specific surface area and pore volume of resulting catalysts were measured by N2 physical adsorption instrument (ASAP 2020, Micromeritics Instrument Ltd., American) at -196 °C. The specific surface area was calculated from the adsorption branch of the isotherm using the single-point Brunauer-Emmett-Teller (BET) method. The pore size distribution and pore volume were calculated from the desorption branch of the isotherm using the Barrett-Joyner-Halenda (BJH) method. The contact angle of resulting catalysts were measured by a contact angle measurement system (JY-Pha, Chengde Yote Instrument Manufacturing Co. Ltd., China) with film thickness of 0.08 mm at intervals of 0.5 to 5 s. The elemental composition, valence state and content of catalysts were determined by X-ray photoelectron spectroscopy (XPS) (Escalab Xi+, Thermo Fisher Scientific Inc., American) using a hemispheric 180° dual-focus analyzer and a monochromatic Al Kα (hv=1486.6 eV) radiation. The XPS data were analyzed using the Thermo Avantage software.

2.4. Electrocatalytic Hydrogen Evolution Test of Catalyst

Preparation of the test electrode. The details are as follows: first, 1 mg catalyst was weighed and ground into powder. Second, the powder was dispersed in a solution consisting of 0.25 mL isopropyl alcohol, 0.75 mL deionized water and 20 μL 5 wt% Nafion solution. Ultrasonic dispersion in an ice water bath until a uniformly dispersed suspension was formed. Finally, the solution containing the catalyst was evenly coated on the surface of 1 cm2 carbon paper, and the working electrode was obtained after complete drying.
The electrocatalytic HER performance of the resulting catalyst was tested by using electrochemical workstation (CHI660E, Shanghai Chenhua Instrument Co., LTD, China) at 25℃. A standard three-electrode system was adopted, and the resulting catalyst, graphite rod and saturated calomel electrode (SCE) served as the working electrode, counter electrode and reference electrode, respectively. All the potentials were converted to the reversible hydrogen electrode (RHE) after the measurements using equation (1):
V ( R H E ) = V ( S C E ) + 0.0591 × p H + 0.2415
Where, V(RHE) is the potential value (V) of RHE, V(SCE) is the potential value (V) of SCE, and pH is the pH value of the solution.
The electrochemical catalytic surface area (ECSA) is critical for comparing the intrinsic activity of different crystal faces of the resulting catalyst, so ECSA needs to be determined and estimated by electrochemical double layer capacitance (Cdl). Here, cyclic voltammetry (CV) was used to measure the charging and discharging current of electric double layer of the resulting catalyst in the potential range without electrochemical reaction. In the linear relationship between the non-Faraday current of the resulting catalyst and the linear scanning rate, the slope is the Cdl of the catalyst sample, as shown in equation (2).
I = V × C d l
Where, V is the scanning rate (mV s-1), and I is the current density (mA cm-2) at different scanning rates.
Once the Cdl was determined, the ECSA value can be approximated from the Cdl value using the Randles-Sevcik equation, as shown in equation (3).
E C S A = C d l C s
Where, Cs is the specific capacitance (mF). The Cs value is usually in the range of 20~60 mF [13], and the Cs value was set as 40 mF in this study.
In general, the electrocatalytic HER activity of different catalysts can be compared in terms of the overpotential (η) values required to achieve a 10 mA cm-2 current density. In principle, η values can be obtained by the linear sweep voltammetry (LSV) curve. In this study, LSV curves were obtained at a low scan rate of 5 mV s-l. Then, make a straight line y=-10 on the LSV curve, and the abscissa of the intersection point with the LSV curve is the η value after taking the absolute value.
The Tafel slope is the rate at which the current increases with respect to η, which is mainly determined by the transfer coefficient. It can be obtained from the Tafel diagram derived from the LSV result, and then fitting the linear portion at the lower η by the Tafel equation as shown in equation (4).
η = b log I + a
Where, η is the overpotential (mV), I is the current density (mA cm-2), a is the constant, and b is the Tafel slope.
The mass activity (MA) reflects the true electrocatalytic activity of the electrocatalyst. In order to more intuitively compare the activity of electrocatalytic different electrocatalysts, MA values of them were calculated according to equation (5):
M A = I / M
Where, MA (mA mg-1) is the mass activity of the catalyst, I is the current density (mA cm-2) and M is the catalyst load (mg cm-2).
The stability of the resulting electrocatalyst was tested by CV, LSV and time-current (i-t) methods. CV, LSV and i-t tests were performed in 1 mol L-1 KOH and 0.5 mol L-1 H2SO4 electrolyte solutions, and the obtained data were not compensated by IR.

2.5. DFT Calculation

The density functional theory (DFT) was used to calculate the state density of PtCo/Ti3C2Tx by the plane wave method in the Vienna Ab initio Simulation Package (VASP). The exchange-correlation was approximated within the generalized gradient approximation (GGA) in Dmol3 module with Perdew-Burke-Ernzerhof (PBE) method. The interaction between ionic cores and valence electrons was described by the ultrasoft pseudopotential (USPP) method. The pseudopotential valences of Pt and Co were [Xe]4f145d96s1 and [Xe]4f145d96s1, respectively. The Monkhorst-Pack k-point mesh of 2×2×1 was adopted, and the cut-off energy for plane wave expansion was set to 500 eV and the electronic self-consistency was 10-4 eV atom-1. The vacuum layer thickness in the z direction is set to 15 A, which makes the interaction between the two adjacent catalyst surfaces negligible. Here, ΔGH* on different catalyst surfaces can be calculated by equation (6).
Δ G H * = G t o t G s l a b 1 2 G H 2 ( g )
Where, Gtot和Gslab represent the total energy of the catalyst system with and without adsorbed hydrogen atoms on the surface, respectively, and G H 2 ( g ) represents the total energy of a gas phase H2 molecule.

3. Results and Discussion

3.1. Characterization of PtCo/Ti3C2Tx Catalyst

The morphology of Ti3C2Tx, Pt/Ti3C2Tx-6.64, Co/Ti3C2Tx-32 and PtCo/Ti3C2Tx-32 catalysts were analyzed by SEM, and the results were shown in Figure 2. As can be seen from the SEM images of Ti3C2Tx shown in Figure 2(a), Ti3C2Tx presents a multi-layer and compact stack lamellar structure, which is a typical two-dimensional layered structure. The unique two-dimensional structure of Ti3C2Tx can provide an effective conductive network for fast ion and electron transport during electrocatalysis HER process [14]. From the SEM image of Pt/Ti3C2Tx-6.64 shown in Figure 2(b), it can be clearly seen that granular Pt particles were deposited on the surface of Ti3C2Tx. As can be seen from SEM image of Co/Ti3C2Tx-32 shown in Figure 2(c) that the morphology of Ti3C2Tx has not changed significantly. It still presents a two-dimensional layered structure, and no obvious granular particles were found on its surface. From the SEM image of PtCo/Ti3C2Tx-32 shown in Figure 2(d), it can be seen that the particle size loaded on the surface of PtCo/Ti3C2Tx-32 was significantly smaller than that of Pt/Ti3C2Tx-6.64, indicating that Co can effectively inhibit the agglomeration of Pt.
In order to understand the type and distribution of elements in PtCo/Ti3C2Tx-32 catalyst as shown in Figure S1.(a) (Supporting Information), EDS elemental mapping analysis was conducted, and analysis results were shown in Figure S1.(b~f) (Supporting Information). It can be found that there are many bright regions with uniform distribution of particles, which indicates that Pt and Co did not form large particles on the surface of Ti3C2Tx. Combined with the SEM analysis results, it can found that Co not only inhibits the aggregation of Pt to form large-sized particles, but also promotes the uniform distribution of Pt on the surface of Ti3C2Tx, which is beneficial to the exposure of more active sites of the catalyst [15]. Element point scanning analysis was carried out on PtCo/Ti3C2Tx-32, that is, 6 points were randomly selected on its surface to detect the element information of each point, and the results were shown in Figure S1.(g) (Supporting Information). As can be seen from the results of Figure S1.(g), the distribution of Pt and Co elements was relatively uniform. The average atomic percentages of C, Ti, Co and Pt were 37.67, 61.23, 1.03 and 0.07, respectively. It can be inferred that the mass percentage of C, Ti, Co and Pt were 13.04, 84.81, 1.75 and 0.39, respectively.
In order to further study the microstructure of the resulting catalysts, the structures of Ti3C2Tx, Pt/Ti3C2Tx-6.64, Co/Ti3C2Tx-32 and PtCo/Ti3C2Tx-32 were analyzed by TEM, and the results were shown in Figure S2 (Supporting Information). It can be seen from Figure S2.(a) that Ti3C2Tx has a unique two-dimensional layered structure. It can be found from Figure S2.(b) that a large number of clusters with different sizes were attached to flaky Ti3C2Tx. This is because Pt particles are prone to agglomerate during the preparation process, which may seriously affect the activity and stability of the catalyst [16]. Figure S2.(c) showed the TEM image of Co/Ti3C2Tx-32, and no obvious agglomeration phenomenon was found, which is consistent with the SEM analysis results.. From the TEM image of PtCo/Ti3C2Tx-32 shown in Figure S2.(d), it can be seen that the number of clusters in PtCo/Ti3C2Tx-32 is significantly reduced and the size is smaller than that of Pt/Ti3C2Tx. It can be concluded that Co can inhibit the formation of large Pt particles, which will help to expose more Pt to the catalyst surface, thereby improving the utilization rate of Pt.
The phase structures of Ti3AlC2, Ti3C2Tx and Pt/Ti3C2Tx-6.64, Co/Ti3C2Tx-32 and PtCo/Ti3C2Tx-32 were analyzed by XRD, and the results were shown in Figure 3. Figure 3(a) shows the XRD analysis results of Ti3AlC2 and Ti3C2Tx. It can be seen from Figure 5(a) that after HF etching of Ti3AlC2, three distinct characteristic diffraction peaks appeared at 2θ of 9.5°, 19.3° and 39.0°. It can be known that the above characteristic diffraction peaks respectively correspond to (002), (004) and (104) crystal faces after comparing the Ti3AlC2 standard card (JCPDS NO.52-0875). In addition, a new broad characteristic diffraction peak appeared at 2θ of 6.1°, indicating that the Al layer has been etched and that Ti3AlC2 has successfully transformed into Ti3C2Tx. It also indicated that the layer spacing of Ti3C2Tx has became larger after the etching of the Al layer, and which is facilitates the entry of active substances into Ti3C2Tx [9]. It can be seen from Figure 3(b) that Co/Ti3C2Tx-32 appeared three obvious characteristic diffraction peaks at 2θ of 41.6°, 44.9° and 47.5°, respectively. These characteristic peaks are indexed to the hcp Co phase (JCPDS 05-0727), corresponding to the crystal faces of Co (100), (002) and (101), respectively. In addition, Co/Ti3C2Tx-32 also exhibited two characteristic diffraction peaks at 2θ of 41.0° and 42.4°, and these two above characteristic diffraction peaks were indexed to the (321) crystal face of CoTi2O5 and the (200) crystal face of CoO after comparing the standard card of CoTi2O5 (JCPDS 35-0793) and CoO (JCPDS NO.43-1004), respectively. Pt/Ti3C2Tx appeared two characteristic diffraction peaks at 2θ of 39.7° and 46.2°, and these characteristic peaks were indexed to the (111) and (200) crystal faces of Pt after comparing the Pt standard card (JCPDS NO.04-0802). Moreover, Co/Ti3C2Tx-32 and Pt/Ti3C2Tx-6.64 show the same diffraction peak at 2θ of 41.7°, corresponding to the Ti3C2Tx substrate, which indicates that Co and Pt have successfully loaded on Ti3C2Tx. By observing the XRD pattern of PtCo/Ti3C2Tx, it can be seen that only one characteristic diffraction peak appeared at 2θ of 47.8°. It can be known that the above characteristic diffraction peaks corresponds to the (110) crystal face of PtCo alloy after comparing the standard card of PtCo alloy (JCPDS NO.29-0498). It is worth noting that the XRD pattern of PtCo/Ti3C2Tx does not show any diffraction peaks corresponding to the atomic and oxidation states of Co(Pt). The results show that Co and Pt exist in the form of PtCo alloy in PtCo/Ti3C2Tx.
The chemical states and valence electron structures of the surface atoms of Ti3C2Tx, Co/Ti3C2Tx-32, Pt/Ti3C2Tx-6.64 and PtCo/Ti3C2Tx-32 elecrocatalysts were studied by XPS. From Figure S3.(a) to Figure S6.(a) showed the spectrum of C1s of these above elecrocatalysts (Supporting Information). The peak at 284.8 eV corresponds to C-C bond, and the other three peaks correspond to C-Ti bond (281.8 eV), O-C bond (286.4 eV) and O-C=O bond (289.0 eV) respectively [17,18]. From Figure S3.(b) to Figure S6.(b) showed the spectrum of O1s of these above elecrocatalysts (Supporting Information), three peaks at 530.3 eV, 531.8 eV and 533.3 eV correspond to the C-Ti-Ox bond, Ti-OH bond, H2O adsorbed on the surface and Ti(OF)x, respectively [19]. From Figure S3.(c) to Figure S6.(c) showed the Ti2p spectra of these above elecrocatalysts (Supporting Information), and six peaks can be found, the characteristic peaks at 455.4 eV, 456.8 eV and 461.2 eV, 465.4 eV correspond to Ti2p3/2 and Ti2p1/2 [20], respectively. The peaks at 455.4 and 459.7 eV correspond to Ti-C, and the other two peaks at 457.8 and 462.5 eV correspond to Ti-O. The presence of TiO2 component in the catalyst should be attributed to the inevitable surface oxidation of the Ti3C2Tx in the air. It has been proved to be unavoidable, and which does not affect the structure and physicochemical properties of Ti3C2Tx [20]. Figure S5.(d) and Figure S6.(d) shows the Pt4f spectra of Pt/Ti3C2Tx-6.64 and PtCo/Ti3C2Tx-32 (Supporting Information). Generally, the peaks at 71.4 eV (Pt4f7/2) and 74.7 eV (Pt4f5/2) correspond to Pt0, and the peaks at 72.5 eV (Pt4f7/2) and 75.9 eV (Pt4f5/2) correspond to Pt2+, respectively [21]. It can been seen from the XPS spectra of PtCo/Ti3C2Tx-32, the peaks corresponding to Pt0 and Pt2+ all move in the direction of lower binding energies, and the shift amplitude of Pt2+ was larger. Figure S4.(d) and Figure S6.(e) showed the Co2p spectra of Co/Ti3C2Tx-32 and PtCo/Ti3C2Tx-32 (Supporting Information). In the XPS spectra of Co/Ti3C2Tx-32, the characteristic peaks in the binding energy range of 778.5~782.0 eV can be divided into two peaks, 781.1 eV and 779.4 eV. They are classified as Co2+ and Co3+, and the satellite peak (sat) at 786.5 eV also indicates the presence of Co2+ [22]. In the XPS spectra of PtCo/Ti3C2Tx-32, peaks correspond to Co2+ and Co3+ move slightly in the direction of higher binding energies, and the peak corresponds to Pt4f moves in the direction of lower binding energy. The shift of peak position indicated that the electron distribution of Pt and Co elements has changed, that is, there is a strong electron interaction between them. This is because electrons were transferred from less electronegative Co to more electronegative Pt, resulting in a change in the electronic environment of Pt. It will affect the adsorption of the catalyst to the reactant molecules and the desorption ability of the product [23].
The surface hydrophilicity of the catalyst was determined by measuring the contact angles of Ti3C2Tx, Pt/Ti3C2Tx-6.64, Co/Ti3C2Tx-32 and PtCo/Ti3C2Tx-32 (as shown in Figure S7, Supporting Information)). The contact angles of Ti3C2Tx, Pt/Ti3C2Tx-6.64, Co/Ti3C2Tx-32 and PtCo/Ti3C2Tx-32 are 130.4°, 98.1°, 52.7° and 12.1°, respectively. The contact angle of PtCo/Ti3C2Tx is much smaller than that of Ti3C2Tx, Pt/Ti3C2Tx-6.64 and Co/Ti3C2Tx-32, which indicates that the PtCo/Ti3C2Tx-32 catalyst has strong hydrophilicity. Good hydrophilicity can make the contact between the active site and the electrolyte more adequate, which is also conducive to improve HER reaction activity [24].
The specific surface area and pore size distribution of Ti3C2Tx, Pt/Ti3C2Tx-6.64, Co/Ti3C2Tx-32 and PtCo/Ti3C2Tx-32 were determined by the specific surface area and pore size analyzer. Figure 4(a) shows the N2 adsorption-desorption curves of Ti3C2Tx, Pt/Ti3C2Tx-6.64, Co/Ti3C2Tx-32 and PtCo/Ti3C2Tx-32. Figure 4(b) shows the pore size distribution of Ti3C2Tx, Pt/Ti3C2Tx-6.64, Co/Ti3C2Tx-32 and PtCo/Ti3C2Tx-32. It can be found that PtCo/Ti3C2Tx-32 has a wider aperture distribution when it was compared with Ti3C2Tx and Co/Ti3C2Tx-32. From the pore size distribution (0-50 nm) shown in Figure 4(c), it can be found that the probability of mesoporous distribution of PtCo/Ti3C2Tx-32 was significantly higher than that of the other three catalysts, and the pore distribution was mainly between 2 and 3 nm. The N2 adsorption-desorption curves of Ti3C2Tx, Pt/Ti3C2Tx-6.64, Co/Ti3C2Tx-32 and PtCo/Ti3C2Tx-32 were analyzed and calculated to obtain the specific surface area, pore size and pore volume of the above-mentioned catalysts. The results were shown in Table 1.
As can been seen from Table 1 that the Ti3C2Tx has a specific surface area of 2.96 m2/g, a pore volume of 0.0075 cm3/g and a pore size of 10.77 nm. After loading Pt with Ti3C2Tx, the specific surface area, pore volume and pore diameter of Pt/Ti3C2Tx-6.64 become 15.41 m2/g, 0.015 cm3/g and 38.84 nm, respectively. It can be found that all the specific surface area, pore diameter and pore volume were increased. After loading Co with Ti3C2Tx, the specific surface area of Co/Ti3C2Tx-32 was 16.37 m2/g and the pore volume was 0.028 cm3/g, both the specific surface area and pore volume were increased. However, the pore size was reduced to 6.75 nm. The specific surface area of PtCo/Ti3C2Tx-32 was 59.31 m2/g, and which was greatly improved. The pore volume was 0.039 cm3/g, so the pore volume was also increased. The pore size is 2.66 nm, and which is reduced. The results shown that the specific surface area and pore volume of Pt/Ti3C2Tx-6.64, Co/Ti3C2Tx-32 and PtCo/Ti3C2Tx-32 were increased when they were compared with Ti3C2Tx, which is due to the effect of inserting Pt, Co and PtCo particles between the Ti3C2Tx layers. The accumulation of Ti3C2Tx flakes was effectively inhibited and the layer spacing was expanded [25]. It is worth noting that the number of active sites on the catalyst surface is positively correlated with the catalytic performance of HER [26]. Therefore, PtCo/Ti3C2Tx-32 can be expected to have the highest HER electrocatalytic activity.

3.2. Electrocatalytic HER Performance Test in Acidic Electrolyte

The HER electrocatalytic performance of Pt/Ti3C2Tx-3.32, Pt/Ti3C2Tx-6.64 and Pt/Ti3C2Tx-13.28 catalysts was tested in 0.5 mol/L H2SO4 solution. LSV results were shown in Figure 5(a). It can be seen that Pt/Ti3C2Tx-6.64 catalyst has the best HER electrocatalytic performance. The possible reasons for the low catalytic activity of Pt/Ti3C2Tx-3.32 and Pt/Ti3C2Tx-13.28 were as follows: when the content of Pt was insufficient, there are not enough active sites on the surface of Ti3C2Tx, resulting in poor HER performance; when the content of Pt was high, it is easier to agglomerate to form particles at high temperature reduction, making the Pt atoms wrapped in the particles unable to participate in the reaction, resulting in insufficient active sites. Therefore, the content of Pt was fixed at 6.64 mg, and the effects of different amounts of Co on the electrocatalytic HER performance were studied. The electrocatalytic HER performance of PtCo/Ti3C2Tx-16, PtCo/Ti3C2Tx-32 and PtCo/Ti3C2Tx-320 were tested in 0.5 mol/L H2SO4 solution and the LSV results were shown in Figure 5(b). As can be seen from Figure 9(b), the electrocatalytic HER performance of these above catalysts showed a trend of first increasing and then decreasing with the increase of Co content, and the PtCo/Ti3C2Tx-32 catalyst exhibited the best electrocatalytic HER performance. As a comparison, the electrocatalytic HER performance of Ti3C2Tx, Co/Ti3C2Tx-32, Pt/Ti3C2Tx-6.64 and PtCo/Ti3C2Tx-32 were tested and the LSV results of these above catalysts were shown in Figure 5(c). It can be seen from Figure 5(c) that PtCo/Ti3C2Tx-32 shown the best electrocatalytic HER performance. Finally, the η values of Ti3C2Tx, Co/Ti3C2Tx-32, Pt/Ti3C2Tx-6.64 and PtCo/Ti3C2Tx-32 required to reach a current density of 10 mA cm-2 were obtained, as shown in Figure 9(d). It can be seen from Figure 9(d) that the η values of Ti3C2Tx and Co/Ti3C2Tx-32 were 435 mV and 420 mV, respectively. However, the η values of Pt/Ti3C2Tx-6.64 and PtCo/Ti3C2Tx-32 were 80 mV and 36 mV, respectively. It is worth noting that the η of commercial Pt/C catalyst was 45 mV to reach a current density of 10 mA cm-2 in 0.5 M H2SO4 [27], so the electrocatalytic HER performance of PtCo/Ti3C2Tx-32 is even better than the commercial Pt/C catalyst.
Figure 5. HER performance diagram of catalyst in 0.5 mol/L H2SO4 solution. LSV diagram of (a) Pt/Ti3C2Tx with different amounts of Pt, (b) PtCo/Ti3C2Tx with different amounts of Co, (c) Ti3C2Tx, Co/Ti3C2Tx-32, Pt/Ti3C2Tx-6.64 and PtCo/Ti3C2Tx-32; (d) overpotential values of catalysts.
Figure 5. HER performance diagram of catalyst in 0.5 mol/L H2SO4 solution. LSV diagram of (a) Pt/Ti3C2Tx with different amounts of Pt, (b) PtCo/Ti3C2Tx with different amounts of Co, (c) Ti3C2Tx, Co/Ti3C2Tx-32, Pt/Ti3C2Tx-6.64 and PtCo/Ti3C2Tx-32; (d) overpotential values of catalysts.
Preprints 137688 g005
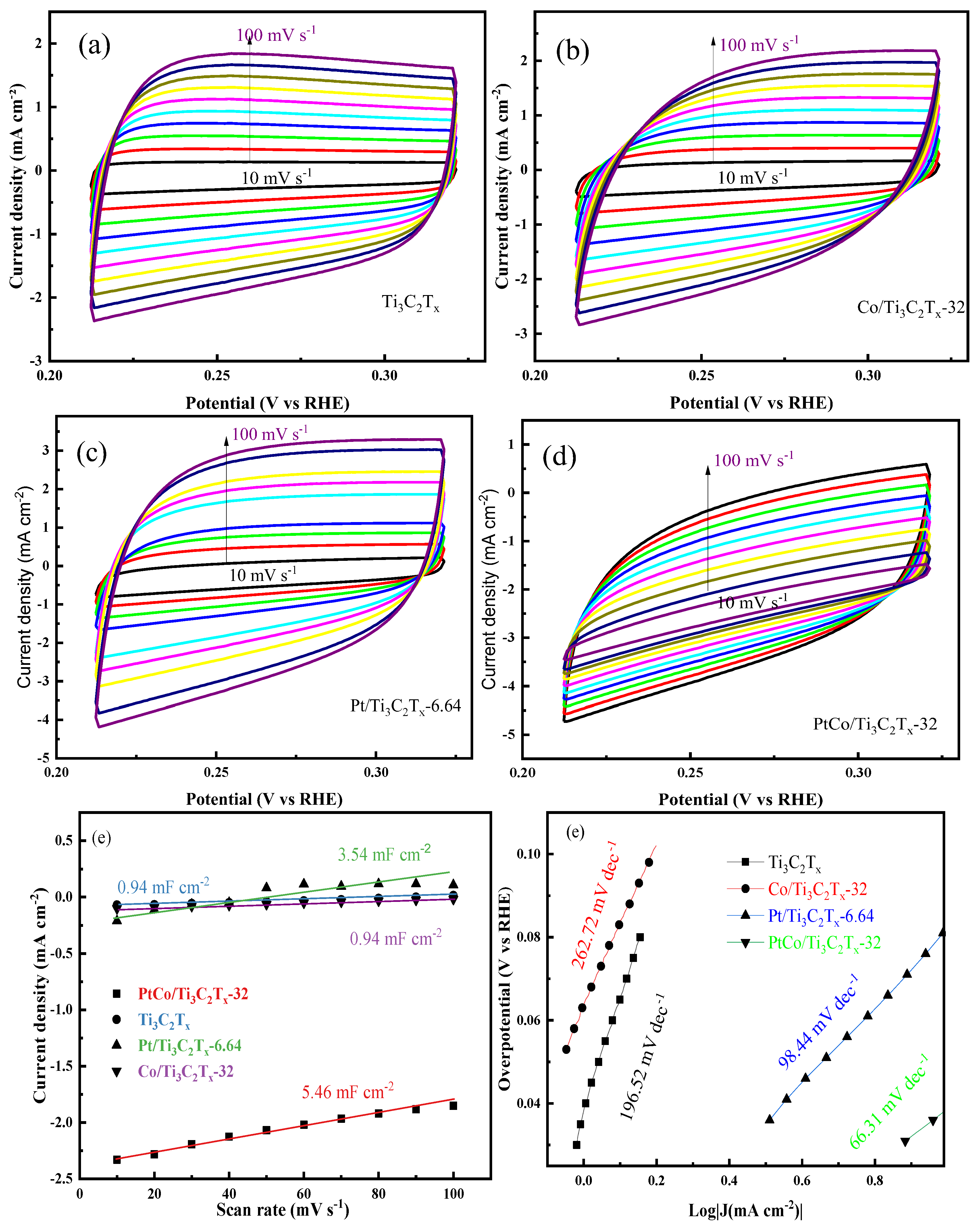
The ECSA of catalyst can reflect its hydrogen evolution performance. In order to comapare the electrocatalytic HER performance of Ti3C2Tx, Co/Ti3C2Tx-32, Pt/Ti3C2Tx-6.64 and PtCo/Ti3C2Tx-32 catalysts, so the CV curves of these above catalysts at different scanning speeds were obtained and shown as Figure 6(a-d). Furthermore, the Cdl values of these above catalysts were calculated by equation (2) and shown as Figure 6(e). It can be seen from Figure 6(e) that the Cdl values of Ti3C2Tx, Co/Ti3C2Tx-32, Pt/Ti3C2Tx-6.64 and PtCo/Ti3C2Tx-32 catalysts were 0.94 mF cm-2, 0.94 mF cm-2, 3.54 mF cm-2 and 5.46 mF cm-2, respectively. The Cdl value was converted to ECSA value by equation (3), and the ECSA values of PtCo/Ti3C2Tx-32, Pt/Ti3C2Tx-6.64, Co/Ti3C2Tx-32 and Ti3C2Tx were 136.5 cm-2, 88.5 cm-2, 23.5 cm-2 and 23.5 cm-2, respectively. Therefore, the normalized ECSA followed the order: PtCo/Ti3C2Tx-32>Pt/Ti3C2Tx-6.64>Co/Ti3C2Tx-32=Ti3C2Tx. The HER activity followed the order: PtCo/Ti3C2Tx-32>Pt/Ti3C2Tx-6.64>Co/Ti3C2Tx-32>Ti3C2Tx. Co/Ti3C2Tx-32 and Ti3C2Tx had the same ECSA values, but Co/Ti3C2Tx had a higher HER activity than Ti3C2Tx, which may be due to Co entering the interior of Ti3C2Tx, which can effectively prevent Ti3C2Tx from stacking and expose more reaction active sites. Meanwhile, Pt/Ti3C2Tx-6.64 had higher ECSA and HER activity than Co/Ti3C2Tx-32, which indicates that Pt is more active than Co. PtCo/Ti3C2Tx-32 had higher ECSA and HER activity than Pt/Ti3C2Tx, which shows that PtCo forming an alloy can effectively inhibit the agglomeration of Pt. In order to further explore the HER kinetics of these catalysts, the corresponding Tafel slope values were obtained through the LSV curves of each catalyst, and the results were shown in Figure 6(f). It can be seen from Figure 6(f) that the Tafel slope of PtCo/Ti3C2Tx-32 catalyst was 66.31 mV dec-1, which indicates the Volmer-Heyrovsky step is rate limiting. The Tafel slopes of Pt/Ti3C2Tx-6.64, Co/Ti3C2Tx-32 and Ti3C2Tx were 98.44 mV dec-1, 196.52 mV dec-1 and 262.72 mV dec-1, respectively. Compared with Pt/Ti3C2Tx-6.64, Co/Ti3C2Tx-32 and Ti3C2Tx, the Tafel slope of PtCo/Ti3C2Tx-32 was significantly reduced, which means that its kinetic process is faster, indicating that the catalyst can reach the required current density at a lower η value, that is, it has the best electrocatalytic HER performance.
The electrocatalytic HER stability of PtCo/Ti3C2Tx-32 was tested in 0.5 mol L-1 H2SO4 solution. The i-t, CV and LSV curves were shown in Figure 7.
As can be seen from Figure 7(a), PtCo/Ti3C2Tx-32 showed good stability after 10 h test. As can be seen from Figure 7(b) and (c), the η value of PtCo/Ti3C2Tx-32 catalyst before and after 2000 cycles to reach the current density of 10 mA cm-2 were 36 mV and 39 mV, only a 3 mV change in η value was observed, which further indicates that the PtCo/Ti3C2Tx-32 catalyst has good stability. According to CV test results, the MA value of PtCo/Ti3C2Tx-32 before and after electrocatalytic HER stability was obtained from equation (5). Before the electrocatalytic HER stability test, the MA value of PtCo/Ti3C2Tx-32 was 787.40 mA (mgPt)-1; after the test, the MA value of PtCo/Ti3C2Tx-32 was changed to 748.03 mA (mgPt)-1. All the above results shown that PtCo/Ti3C2Tx-32 had good stability in 0.5 mol L-1 H2SO4 solution. Therefore, PtCo alloying can improve the corrosion resistance of Co in acidic media and protect the active site of catalyst.

3.3. Electrocatalytic HER Performance Test in Alkaline Electrolyte

The electrocatalytic HER performance of Pt/Ti3C2Tx-3.32, Pt/Ti3C2Tx-6.64 and Pt/Ti3C2Tx-13.28 were tested in 1 mol L-1 KOH solution using standard three-electrode system. It can be seen from Figure 8(a) that Pt/Ti3C2Tx-6.64 catalyst exhibited the best electrocatalytic HER performance. Subsequently, the Pt content was fixed at 6.64 mg, and the electrocatalytic HER performance of PtCo/Ti3C2Tx-16, PtCo/Ti3C2Tx-32 and PtCo/Ti3C2Tx-320 were tested to understand the influence of the amount of Co. It can be seen from Figure 8(b) that the electrocatalytic HER performance increases first and then decreases with the increase of Co content, and PtCo/Ti3C2Tx-32 has the best electrocatalytic HER performance. Figure 8(c) shows the LSV curves of Ti3C2Tx, Co/Ti3C2Tx-32, Pt/Ti3C2Tx-6.64 and PtCo/Ti3C2Tx-32.
Figure 8(d) showed that η values of Ti3C2Tx and Co/Ti3C2Tx-32 were respectively 410 mV and 348 mV to reach a current density of 10 mA cm-2, which indicated that their electrocatalytic HER performance was poor. Although the η values of Ti3C2Tx and Co/Ti3C2Tx-32 in 1 mol L-1 KOH solution are lower than their η values in 0.5 mol L-1 H2SO4 solution, the overall η values were still too large. The addition of Pt improved the electrocatalytic HER performance of Pt/Ti3C2Tx-6.64 (89 mV) and PtCo/Ti3C2Tx-32 (101 mV). It is worth noting that the η ofommercial 20% Pt/C was 304 mV to reach a current density of 10 mA cm-2 in 1 M KOH [28], so the electrocatalytic HER performance of PtCo/Ti3C2Tx-32 was also better than the commercial Pt/C catalyst.
It is worth noting that the electrocatalytic HER performance of PtCo/Ti3C2Tx-32 was inferior to that of Pt/Ti3C2Tx-6.64 under low potential. However, the electrocatalytic HER performance of PtCo/Ti3C2Tx-32 rapidly exceeds that of Pt/Ti3C2Tx-6.64 with the increase of potential. In addition, the η value of the PtCo/Ti3C2Tx-32 in 0.5 mol L-1 H2SO4 solution is 36 mV, and the η value becomes 101 mV after the electrolyte is replaced with 1 mol L-1 KOH. The results showed that PtCo/Ti3C2Tx-32 can be used as electrocatalyst for HER in 0.5 mol L-1 H2SO4 solution and 1 mol L-1 KOH solution, and had better electrocatalytic performance in 0.5 mol/L H2SO4 solution.
Figure 9(a-d) shows the CV diagrams of Ti3C2Tx, Co/Ti3C2Tx-32, Pt/Ti3C2Tx-6.64 and PtCo/Ti3C2Tx-32 at different scanning rates in 1 mol L-1 KOH solution. The Cdl value of the above catalyst was calculated by equation (2), and the Cdl values of Ti3C2Tx, Co/Ti3C2Tx-32, Pt/Ti3C2Tx-6.64 and PtCo/Ti3C2Tx-32 catalysts were shown in Figure 9(e). It can be seen from Figure 9(e) that the Cdl values of Ti3C2Tx, Co/Ti3C2Tx-32, Pt/Ti3C2Tx-6.64 and PtCo/Ti3C2Tx-32 were 0.03 mF cm-2, 0.94 mF cm-2, 1.83 mF cm-2 and 15.06 mF cm-2, respectively. The Cdl value was then converted to ECSA value by equation (3), and the ECSA values of PtCo/Ti3C2Tx-32, Pt/Ti3C2Tx-6.64, Co/Ti3C2Tx-32 and Ti3C2Tx were 376.5 cm-2, 22.5 cm-2, 45.75 cm-2 and 0.75 cm-2, respectively. PtCo/Ti3C2Tx-32 catalyst has a large ECSA value, mainly because Co can effectively inhibit the agglomeration of Pt, reduce the particle size of Pt, and accelerate the charge transfer rate between Pt and Ti3C2Tx. In order to further explore the HER kinetics of these above catalysts, the corresponding Tafel slope values were obtained through the LSV curves of each catalyst, and the results were shown in Figure 9(f). It can be seen from Figure 9(f) that the Tafel slope of PtCo/Ti3C2Tx-32 catalyst was 105.17 mV dec-1, which indicates the Volmer-Heyrovsky step is rate limiting. The Tafel slopes of Pt/Ti3C2Tx-6.64, Co/Ti3C2Tx-32 and Ti3C2Tx were 98.44 mV dec-1, 196.52 mV dec-1 and 262.72 mV dec-1, respectively. The Tafel slope of PtCo/Ti3C2Tx-32 was significantly reduced when it was compared with Pt/Ti3C2Tx-6.64, Co/Ti3C2Tx-32 and Ti3C2Tx, indicating the kinetic process is faster and the HER activity is better.
Figure 9. CV diagram of (a) Ti3C2Tx, (b) Co/Ti3C2Tx-32, (c) Pt/Ti3C2Tx-6.64, (d) PtCo/Ti3C2Tx-32; (e) Cdl values and (f) Tafel slopes of Ti3C2Tx, Co/Ti3C2Tx-32, Pt/Ti3C2Tx-6.64 and PtCo/Ti3C2Tx-32 in 1 mol L-1 KOH solution.
Figure 9. CV diagram of (a) Ti3C2Tx, (b) Co/Ti3C2Tx-32, (c) Pt/Ti3C2Tx-6.64, (d) PtCo/Ti3C2Tx-32; (e) Cdl values and (f) Tafel slopes of Ti3C2Tx, Co/Ti3C2Tx-32, Pt/Ti3C2Tx-6.64 and PtCo/Ti3C2Tx-32 in 1 mol L-1 KOH solution.
Preprints 137688 g009
The electrocatalytic HER stability of PtCo/Ti3C2Tx-32 was tested in 1 mol L-1 KOH solution. The CV and LSV curves were shown in Figure 10.
As can be seen from Figure 10(a), the η value of PtCo/Ti3C2Tx-32 catalyst before and after 1000 cycles to reach the current density of 10 mA cm-2 were 101 mV and 116 mV, and a 15 mV change in η value was observed, which indicates that the PtCo/Ti3C2Tx-32 catalyst has good stability. According to CV test results, the MA value of PtCo/Ti3C2Tx-32 before and after electrocatalytic HER stability was obtained from equation (5). Before the electrocatalytic HER stability test, the MA value of PtCo/Ti3C2Tx-32 was 787.4 mA (mgPt)-1; after the test, the MA value of PtCo/Ti3C2Tx-32 was changed to 606.3 mA (mgPt)-1. Therefore, the original 77% activity was still maintained after the test, indicating that the stability of PtCo/Ti3C2Tx-32 in 1 mol L-1 KOH solution is worse than that in 0.5 mol L-1 H2SO4 solution.
The electrocatalytic HER performance of PtCo/Ti3C2Tx-32 was compared with that of MXene-based catalyst reported in literature, and the results were shown in Error! Reference source not found.. It could be seen from the table that the PtCo/Ti3C2Tx-32 had better performance in terms of overpotential and Tafel slope, which can be expected as a promising electrocatalysts for HER.

3.3. Theoretical Calculation (DFT)

In order to further elucidate the role of Pt and Co of PtCo/Ti3C2Tx on electrocatalytic HER, three theoretical models (Pt13,Co13 and Pt2Co11) were established based on the types of metal clusters on Ti3C2Tx substrate and the relative proportions of atoms in the clusters for DFT calculation. The simulation structures of PtCo/Ti3C2Tx, Co/Ti3C2Tx and Pt/Ti3C2Tx, and calculation results were showed in Figure S8(a~d), respectively.
It can be seen from Figure S8(d) that the ΔGH* of Pt/Ti3C2Tx, Co/Ti3C2Tx and PtCo/Ti3C2Tx were -2.9 eV, -4.9 eV and 0.17 eV, respectively. Since theΔGH* value of PtCo/Ti3C2Tx is closest to zero, indicating it has the best electrocatalytic HER performance. It is consistent with the experimental results. In order to further study the effect of Co on improving electrocatalysis HER performance of PtCo/Ti3C2Tx, projected state density (PDOS) information of PtCo/Ti3C2Tx, Pt/Ti3C2Tx and Co/Ti3C2Tx catalysts was extracted, as shown in Figure S8(e~f). According to the PDOS infographics of these above electrocatalysts, the d-band center of Pt atom on the surface of Pt metal and PtCo alloy was calculated and the results were shown in Figure 15(g). As can be seen from Figure S8(g), the d-band center of Pt/Ti3C2Tx and PtCo/Ti3C2Tx are -2.074 eV and -2.337 eV, respectively. It can be concluded that after PtCo alloying, the d-band center of Pt has an obvious negative displacement. This is due to the electronic coupling between Co and Pt, which causes the charge to be redistributed around Pt, thus moving d-band center of Pt away from its Ef level. It is worth noting that the lower d-band center reduces the energy of the antibonding state, allowing more electrons to fill the antibonding state. The more valence electrons, the more of them occupy the antibonding state. It weakens the interatomic bonds in the compound, thereby reducing ΔGH* [34]. As a result, lowΔGH* will promote desorption of H* from the surface of Pt, thereby increasing electrocatalytic HER performance of PtCo/Ti3C2Tx.

4. Conclusions

A series of PtCo/Ti3C2Tx-Y (Y: 16, 32, and 320) electrocatalysts were prepared from the anchoring of PtCo alloy by Ti3C2Tx nanosheets. The PtCo/Ti3C2Tx-32 exhibited the best HER performance with low overpotential of 36 mV to reach a current density of 10 mA cm−2, and small Tafel slope of 66.37 mV dec-1in 0.5 mol L-1 H2SO4 solution. The smaller Tafel slope value indicates that the PtCo/Ti3C2Tx-32 catalyst has a fast kinetic process and follows the Volmer–Heyrovsky mechanism in 0.5 mol L-1 H2SO4 solution. The results also showed that PtCo/Ti3C2Tx-32 has good catalytic stability in 0.5 mol L-1 H2SO4 solution, and the activity of PtCo/Ti3C2Tx-32 could still be maintained at 892% after 2000 CV cycles. DFT calculation show that the PtCo alloy makes the PtCo/Ti3C2Tx catalyst have a suitable d-band center and ΔGH* value close to 0, which greatly promotes desorption of H* from the surface of Pt, thereby increasing HER activity. PtCo/Ti3C2Tx could be used as an efficient and stable HER electrocatalysts, and had a broad application prospect.

Supplementary Materials

The following supporting information can be downloaded at the website of this paper posted on Preprints.org.

Acknowledgments

This work was supported by the National Natural Science Foundation of China (21766009).

Author Contributions

Data curation, Buxiang Wang; Formal analysis, Qing Shu; Funding acquisition, Qing Shu; Investigation, Jing Xiao; Methodology, Buxiang Wang; Project administration, Qing Shu; Resources, Qing Shu; Supervision, Qing Shu; Validation, Qing Shu; Writing – original draft, Jing Xiao.

References

  1. Song, H.; Luo, S.; Huang, H.; Deng, B.; Ye, J. Solar-driven hydrogen production: recent advances, challenges, and future perspectives. ACS Energy Lett. 2022, 7, 1043–1065. [Google Scholar] [CrossRef]
  2. Cheng, R.; Min, Y.; Li, H.; Fu, C. Electronic structure regulation in the design of low-cost efficient electrocatalysts: from theory to applications. Nano Energy. 2023, 115, 108718. [Google Scholar] [CrossRef]
  3. Eid, K.; Soliman, K.A.; Abdulmalik, D.; Mitoraj, D.; Sleim, M.H.; Liedke, M.O.; El-Sayed, H.A.; AlJaber, A.S.; Al-Qaradawi, I.Y.; Reyes, O.M. Tailored fabrication of iridium nanoparticle-sensitized titanium oxynitride nanotubes for solar-driven water splitting: experimental insights on the photocatalytic–activity–defects relationship. Catal Sci Technol. 2020, 10, 801–809. [Google Scholar] [CrossRef]
  4. Zhao, L.; Wu, R.; Wang, J.; Li, Z.; Wei, X.; Chen, J.; Chen, Y. Synthesis of noble metal-based intermetallic electrocatalysts by space-confined pyrolysis: recent progress and future perspective. J Energy Chem. 2021, 60, 61–74. [Google Scholar] [CrossRef]
  5. Abdelgawad, A.; Salah, B.; Lu, Q.; Abdullah, A.M.; Chitt, M.; Ghanem, A.; Al-Hajri, S.R.; Eid, K. Template-free synthesis of M/g-C3N4 (M=Cu, Mn, and Fe) porous one-dimensional nanostructures for green hydrogen production. J Electroanal Chem. 2023, 938, 117426. [Google Scholar] [CrossRef]
  6. Salah, B.; Abdelgawad, A.; Lu, Q.; Ipadeola, K.A.; Luque, R.; Eid, K. Synergistically interactive MnFeM (M= Cu, Ti, and Co) sites doped porous g-C3N4 fiber-like nanostructures for an enhanced green hydrogen production. Green Chem. 2023, 25, 6032–6040. [Google Scholar] [CrossRef]
  7. Liu, X.; Jing, S.; Ban, C.; Wang, K.; Feng, Y.; Wang, C.; Ding, J.; Zhang, B.; Zhou, K.; Gan, L.; Zhou, X. Dynamic active sites in NiFe oxyhydroxide upon Au nanoparticles decoration for highly efficient electrochemical water oxidation. Nano. Energy. 2022, 98, 107328. [Google Scholar] [CrossRef]
  8. Wang, J.; Xin, S.; Xiao, Y.; Zhang, Z.; Li, Z.; Zhang, W.; Li, C.; Bao, R.; Peng, J.; Yi, J.; Chou, S. Manipulating the Water Dissociation Electrocatalytic Sites of Bimetallic Ni-based Alloy for Highly-Efficient Alkaline Hydrogen Evolution, Angew. Chem. Int. Ed. 2022, 61, e202202518. [Google Scholar] [CrossRef]
  9. Shen, B.; Feng, Y.; Wang, Y.; Sun, P.; Yang, L.; Jiang, Q.; He, H.; Huang, H. Holey MXene nanosheets intimately coupled with ultrathin Ni–Fe layered double hydroxides for boosted hydrogen and oxygen evolution reactions. Carbon. 2023, 212, 118141. [Google Scholar] [CrossRef]
  10. Salah, B.; Abdelgawad, A.; El-Demellawi, J.K.; Lu, Q.; Xia, Z.; Abdullah AM,Eid, K. Scalable One-Pot Fabrication of Carbon-Nanofiber-Supported Noble-Metal-Free Nanocrystals for Synergetic-Dependent Green Hydrogen Production: Unraveling Electrolyte and Support Effects. ACS Appl Mater Interfaces. 2024, 16, 18768–18781. [Google Scholar] [CrossRef]
  11. Shen B, Huang H, Jiang Y, Xue Y, He H. 3D interweaving MXene–graphene network–confined Ni–Fe layered double hydroxide nanosheets for enhanced hydrogen evolution. Electrochim Acta. 2022, 407, 139913. [Google Scholar] [CrossRef]
  12. Wu, Y.; Wei, W.; Yu, R.; Xia, L.; Hong, X.; Zhu, J.; Li, J.; Lv, L.; Chen, W.; Zhao, Y.; Zhou, L.; Mai, L. Anchoring sub-nanometer Pt clusters on crumpled paper like MXene enables high hydrogen evolution mass activity. Adv Funct Mater. 2022, 32, 2110910. [Google Scholar] [CrossRef]
  13. Sheng H, Ye Ke, Gao Y, Zhu K, Yan J, Wang G, Cao D. Simultaneously boosting hydrogen production and ethanol upgrading using a highly-efficient hollow needle-like copper cobalt sulfide as a bifunctional electrocatalyst. J Colloid Interf Sci. 2021, 602, 325–333. [Google Scholar] [CrossRef]
  14. Shang, X.; Cui, T.; Xiao, Z.; Ren, R.; Song, Z.; Wang, Z.; Li, C.; Xu, B.; Qi, F.; Ikhlaq, A.; Kumirska, J.; Siedlecka, E.M.; Oksana, I. Electrochemical oxidation degradation of fungicide 5-chloro-2-methyl-4-isothiazoline-3-one (CMIT) in brine of reverse osmosis by a novel Ti/CB@MXene anode. Sep Purif Technol. 2022, 299, 121763. [Google Scholar] [CrossRef]
  15. Nairan, A.; Liang, C.; Chiang, S.W.; Wu, Y.; Zou, P.; Khan, U.; Liu, W.; Kang, F.; Guo, S.; Wu, J.; Yang, C. Proton selective adsorption on Pt-Ni nano-thorn array electrodes for superior hydrogen evolution activity. Energy Environ Sci. 2021, 14, 1594. [Google Scholar] [CrossRef]
  16. Morgan, K.; Goguet, A.; Hardacre, C. Metal redispersion strategies for recycling of supported metal catalysts: a perspective. ACS Catal. 2015, 5, 3430–3445. [Google Scholar] [CrossRef]
  17. Ma, Y.Y.; Lang, Z.L.; Yan, L.K.; Wang, Y.H.; Tan, H.Q.; Feng, K.; Xia, Y.J.; Zhong, J.; Liu, Y.; Kang, Z.H.; Li, Y.G. Highly efficient hydrogen evolution triggered by a multi-interfacial Ni/WC hybrid electrocatalyst. Energy Environ Sci. 2018, 11, 2114–212318. [Google Scholar] [CrossRef]
  18. Eid, K.; Lu, Q.Q.; Abdel-Azeim, S.; Soliman, A.; Abdullah, A.M.; Abdelgwad, A.M.; Forbes, R.P.; Ozoemena, K.I.; Varma, R.S.; Shibl, M.F. Highly exfoliated Ti3C2Tx MXene nanosheets atomically doped with Cu for efficient electrochemical CO2 reduction: an experimental and theoretical study. J Mater Chem A. 2022, 4, 1965–1975. [Google Scholar] [CrossRef]
  19. Halim J, Cook KM, Naguib M, Eklund P, Gogotsi Y, Rosen J, Barsoum MW. X-ray photoelectron spectroscopy of select multi-layered transition metal carbides (MXenes). Appl Surf Sci 2016, 362, 406–417. [Google Scholar] [CrossRef]
  20. Yuan, Z.; Guo, H.; Huang, Y.; Li, W.; Liu, Y.; Chen, K.; Yue, M.; Wang, Y. Composites of NiSe2@C hollow nanospheres wrapped with Ti3C2Tx MXene for synergistic enhanced sodium storage. Chem. Eng. J 2022, 429, 132394. [Google Scholar] [CrossRef]
  21. Zhan, C.H.; Xu, Y.; Bu, L.Z.; Zhu, H.Z.; Feng, Y.G.; Yang, T.; Zhang, Y.; Yang, Z.Q.; Huang, B.L.; Shao, Q.; Huang, X.Q. Subnanometer high-entropy alloy nanowires enable remarkable hydrogen oxidation catalysis. Nat Commun. 2021, 12, 6261. [Google Scholar] [CrossRef] [PubMed]
  22. Ma, M.; Xu, J.; Wang, H.; Zhang, X.; Hu, S.; Zhou, W.; Liu, H. Multi-interfacial engineering of hierarchical CoNi2S4/WS2/Co9S8 hybrid frameworks for robust all-pH electrocatalytic hydrogen evolution. Appl Catal B-Environ. 2021, 297, 120455. [Google Scholar] [CrossRef]
  23. Jian, X.; Zhang, M.; Li, R.; Liu, J.; Fu, F.; Liang, Z. Atomically dispersed ultralow-platinum loading on Ti3C2Tx MXene as efficient catalyst for hydrogen evolution reaction. Electrochim Acta. 2022, 411, 140091. [Google Scholar] [CrossRef]
  24. Ye S, Luo F, Zhang Q, Zhang P, Xu T, Wang Q, He D, Guo L, Zhang Yu, He C, Ouyang X, Gu M, Liu J, Sun X. Highly stable single Pt atomic sites anchored on aniline-stacked graphene for hydrogen evolution reaction. Energy Environ Sci. 2019, 12, 1000–1007. [Google Scholar] [CrossRef]
  25. Gu, S.; Jiang, H.; Li, X.; Dai, Y.; Zheng, W.; Jiang, X.; He, G. Dispersing single-layered Ti3C2TX nanosheets in hierarchically-porous membrane for high-efficiency Li+ transporting and polysulfide anchoring in Li-S batteries. Energy Storage Mater. 2022, 53, 32–41. [Google Scholar] [CrossRef]
  26. Zhang, L.; Doyle-Davis, K.; Sun, X. Pt-Based Electrocatalysts with High Atom Utilization Efficiency: From Nanostructures to Single Atoms. Energy Environ Sci. 2019, 12, 492–517. [Google Scholar] [CrossRef]
  27. Ma, C.; He, H.; Qin, J.; Luo, L.; Lan, Y.; Zhang, J.; Yang, L.; Jiang, Q.; Huang, H. The marriage of hydrazone-linked covalent organic frameworks and MXene enables efficient electrocatalytic hydrogen evolution. Small Struct. 2024, 5, 2300279. [Google Scholar] [CrossRef]
  28. Yang, H.S.; Wu, P.F.; Pei, J.J.; Peng, B.; Liu, Q.Q. Isolated Ni-atom catalyst supported on Ti3C2Tx with an asymmetrical C-Ni-N structure for the hydrogen evolution reaction. Chem Commun. 2024, 60, 718–721. [Google Scholar] [CrossRef]
  29. Wang, Y.; Li, T.; Li, M.; Li, Y.; Gu, J. Pt-decorated fluorine-free Ti3C2Tx for hydrogen evolution reaction. J Mater Sci: Mater Electron. 2020, 31, 11345–11351. [Google Scholar] [CrossRef]
  30. Kang, S.M.; Kim, M.; Lee, J.B.; Xu, S.Y.; Selvam, N.C.S.; Yoo, P.J. A NiCoP nanocluster-anchored porous Ti3C2Tx monolayer as high performance hydrogen evolution reaction electrocatalysts. Nanoscal. 2021, 13, 12854–12864. [Google Scholar] [CrossRef]
  31. Wang, P.H.; Zhang, Q.; Fan, A.Q.; Li, L.; Geng, D.C. Enhancing electrocatalytic hydrogen evolution performance through homogeneous deposition of 2H-Phase MoSe2 on Ti3C2Tx. Flachem. 2024, 47, 100705. [Google Scholar] [CrossRef]
  32. Yang, Y.Y.; Yu, Z.L.; An, X.W.; Duan, X.H.; Chen, M.; Zhang, J.; Hao, X.G.; Abudula, A.; Guan, G.Q. Ti3C2Tx nanosheets with uniformly anchored Ru nanoparticles for efficient acidic and basic hydrogen evolution reaction. Int J Hydrogen Energ. 2022, 48, 9163–9171. [Google Scholar] [CrossRef]
  33. Yu, X.; Lin, L.; Pei, C.; Ji, S.; Sun, Y.; Wang, Y.; Kim, J.K.; Park, H.S.; Pang, H. Immobilizing bimetallic RuCo nanoalloys on few-layered MXene as a robust bifunctional electrocatalyst for overall water splitting. Chem Eur. J. 2024, 30, e202303524. [Google Scholar] [CrossRef] [PubMed]
  34. Hong, H.; Kim, H.Y.; Cho, W.I.; Ho, C.S.; Ham, H.C.; Chae, K.; Mota, F.M.; Kim, J.Y.; Kim, D.H. Surface-functionalized three-dimensional MXene supports to boost the hydrogen evolution activity of Pt catalysts in alkaline media. J Mater Chem A. 2023, 11, 5328–5336. [Google Scholar] [CrossRef]
Figure 1. Schematic diagram of preparation of PtCo/Ti3C2Tx.
Figure 1. Schematic diagram of preparation of PtCo/Ti3C2Tx.
Preprints 137688 g001
Figure 2. SEM images of (a)Ti3C2Tx, (b) Pt/Ti3C2Tx-6.64, (c) Co/Ti3C2Tx-32, (d) PtCo/Ti3C2Tx-32.
Figure 2. SEM images of (a)Ti3C2Tx, (b) Pt/Ti3C2Tx-6.64, (c) Co/Ti3C2Tx-32, (d) PtCo/Ti3C2Tx-32.
Preprints 137688 g002aPreprints 137688 g002b
Figure 3. XRD patterns of (a) Ti3AlC2 and Ti3C2Tx,(b) Pt/Ti3C2Tx-6.64, Co/Ti3C2Tx-32 and PtCo/Ti3C2Tx-32.
Figure 3. XRD patterns of (a) Ti3AlC2 and Ti3C2Tx,(b) Pt/Ti3C2Tx-6.64, Co/Ti3C2Tx-32 and PtCo/Ti3C2Tx-32.
Preprints 137688 g003
Figure 4. Ti3C2Tx, Co/Ti3C2Tx-32, Pt/Ti3C2Tx-6.64 and PtCo/Ti3C2Tx-32 of (a) N2 adsorption-desorption curve, (b) Pore size distribution, illustration (c) Pore size distribution (0-50 nm).
Figure 4. Ti3C2Tx, Co/Ti3C2Tx-32, Pt/Ti3C2Tx-6.64 and PtCo/Ti3C2Tx-32 of (a) N2 adsorption-desorption curve, (b) Pore size distribution, illustration (c) Pore size distribution (0-50 nm).
Preprints 137688 g004
Figure 6. CV, Cdl and ECSA, Tafel diagrams of Ti3C2Tx, Co/Ti3C2Tx-32, Pt/Ti3C2Tx-6.64 and PtCo/Ti3C2Tx-32 in 0.5 mol L-1 H2SO4 solution. CV diagram of (a) Ti3C2Tx, (b) Co/Ti3C2Tx-32, (c) Pt/Ti3C2Tx-6.64, (d) PtCo/Ti3C2Tx-32; (e) Cdl diagram; (f) Tafel diagrams.
Figure 6. CV, Cdl and ECSA, Tafel diagrams of Ti3C2Tx, Co/Ti3C2Tx-32, Pt/Ti3C2Tx-6.64 and PtCo/Ti3C2Tx-32 in 0.5 mol L-1 H2SO4 solution. CV diagram of (a) Ti3C2Tx, (b) Co/Ti3C2Tx-32, (c) Pt/Ti3C2Tx-6.64, (d) PtCo/Ti3C2Tx-32; (e) Cdl diagram; (f) Tafel diagrams.
Preprints 137688 g006
Figure 7. Stability test of PtCo/Ti3C2Tx-32 in 0.5 mol L-1 H2SO4 solution. (a) i-t test diagram; stability test: (b) LSV diagram, (c) 2000 cyclic voltammetry diagram.
Figure 7. Stability test of PtCo/Ti3C2Tx-32 in 0.5 mol L-1 H2SO4 solution. (a) i-t test diagram; stability test: (b) LSV diagram, (c) 2000 cyclic voltammetry diagram.
Preprints 137688 g007
Figure 8. LSV diagram of (a) Pt/Ti3C2Tx with different Pt content, (b) PtCo/Ti3C2Tx with different Co content, (c) Ti3C2Tx, Co/Ti3C2Tx-32, Pt/Ti3C2Tx-6.64 and PtCo/Ti3C2Tx-32; and (d) overpotential values of catalysts.
Figure 8. LSV diagram of (a) Pt/Ti3C2Tx with different Pt content, (b) PtCo/Ti3C2Tx with different Co content, (c) Ti3C2Tx, Co/Ti3C2Tx-32, Pt/Ti3C2Tx-6.64 and PtCo/Ti3C2Tx-32; and (d) overpotential values of catalysts.
Preprints 137688 g008
Figure 10. Stability test of PtCo/Ti3C2Tx-32 in 1 mol L-1 KOH (a) LSV diagram, (b) 1000 cycles CV diagram.
Figure 10. Stability test of PtCo/Ti3C2Tx-32 in 1 mol L-1 KOH (a) LSV diagram, (b) 1000 cycles CV diagram.
Preprints 137688 g010
Table 1. Specific surface area, pore volume and average pore diameter of each catalyst.
Table 1. Specific surface area, pore volume and average pore diameter of each catalyst.
Catalyst Specific surface area (m2/g) Pore volume
(cm3/g)
Pore diameter
(nm)
Ti3C2Tx 2.96 0.0075 10.77
Co/Ti3C2Tx-32 15.41 0.015 38.84
Pt/Ti3C2Tx-6.64 16.37 0.028 6.75
PtCo/Ti3C2Tx-32 59.31 0.039 2.66
Table 2. Comparison of electrocatalytic HER performance of MXene-based catalysts in 0.5 M H2SO4 to reach a current density of 10 mA cm-2.
Table 2. Comparison of electrocatalytic HER performance of MXene-based catalysts in 0.5 M H2SO4 to reach a current density of 10 mA cm-2.
Type of electrocatalyst Electrocatalytic HER performance Refs.
Overpotential (mV) Tafel slope (mV dec−1)
Pt/Ti3C2Tx 34 29.7  [12]
Ni SA@Ti3C2Tx 63 70 [28]
Ti3C2Tx/Pt 180 48 [29]
P-Ti3C2Tx@NiCoP 115 76 [30]
MoSe2/O@Ti3C2Tx 121 82 [31]
Ru@Ti3C2Tx-NS 46.75 30.6 [32]
RuCo-Ti3C2Tx 60 34.8 [33]
PtCo/Ti3C2Tx-32 36 66.37 This work
Disclaimer/Publisher’s Note: The statements, opinions and data contained in all publications are solely those of the individual author(s) and contributor(s) and not of MDPI and/or the editor(s). MDPI and/or the editor(s) disclaim responsibility for any injury to people or property resulting from any ideas, methods, instructions or products referred to in the content.
Copyright: This open access article is published under a Creative Commons CC BY 4.0 license, which permit the free download, distribution, and reuse, provided that the author and preprint are cited in any reuse.
Prerpints.org logo

Preprints.org is a free preprint server supported by MDPI in Basel, Switzerland.

Subscribe

Disclaimer

Terms of Use

Privacy Policy

Privacy Settings

© 2025 MDPI (Basel, Switzerland) unless otherwise stated